Skip to main content

a performant python cacheing library

Project description

cacheing - Pure Python Cacheing Library

Coverage


Motivation


The initial motivation behind this package was twofold: fix the long insertion/eviction times in cachetools.LFUCache and provide an alternative to the cachetools.TTLCache offering variable per-key TTL's.

Installation


pip install -U cacheing

And then in your python interpreter:

import cacheing

Updating


Usage


>>> from cacheing import LFUCache

>>> cache = LFUCache(capacity=2)

>>> cache[1] = 2
>>> cache[2] = 3
>>> cache[3] = 4

>>> cache
LFUCache{2: 3, 3: 4}

Benchmark


cacheing has an included benchmarking library found in ./benchmark.

$ python3 ./benchmark.py --help

usage: benchmark [-h] [--cache [CACHE [CACHE ...]]] [--method [{get,set,delete} [{get,set,delete} ...]]]

arguments:
  -h, --help            show this help message and exit
  --cache [CACHE [CACHE ...]], -c [CACHE [CACHE ...]]
                        cache(s) to benchmark. example: cacheing.LRUCache.
  --method [{get,set,delete} [{get,set,delete} ...]], -m [{get,set,delete} [{get,set,delete} ...]]
                        method(s) to benchmark.

Run the Benchmarks:

$ cd benchmark

$ python3 ./benchmark.py --cache cachetools.LRUCache cacheing.LRUCache --method set get delete

Performance


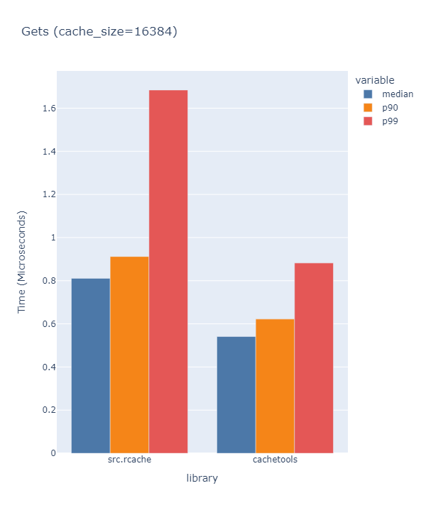
All benchmark times were measured using the provided benchmark library. See the benchmark section for details. The default benchmarking configuration executes 100,000 get operations, 20,000 set operations and n = cache_size delete operations. The median, p90, and p99 times for each operation, measured in microseconds, or 1e-6, are displayed in the figures below.


Get (LFU Cache)             Delete (LFU Cache)

Set (LFU Cache)             Set - Cross Section (LFU Cache)


Set (LRU Cache)             Get (LRU Cache)

Delete (LRU Cache)

Project details


Download files

Download the file for your platform. If you're not sure which to choose, learn more about installing packages.

Source Distribution

cacheing-0.1.1.tar.gz (11.3 kB view details)

Uploaded Source

Built Distribution

If you're not sure about the file name format, learn more about wheel file names.

cacheing-0.1.1-py3-none-any.whl (10.5 kB view details)

Uploaded Python 3

File details

Details for the file cacheing-0.1.1.tar.gz.

File metadata

  • Download URL: cacheing-0.1.1.tar.gz
  • Upload date:
  • Size: 11.3 kB
  • Tags: Source
  • Uploaded using Trusted Publishing? No
  • Uploaded via: poetry/1.2.2 CPython/3.10.3 Windows/10

File hashes

Hashes for cacheing-0.1.1.tar.gz
Algorithm Hash digest
SHA256 eb83d67c5d7af5364f1a338da2c5cf26b4623c5f5670bd2a61ee93123d1b00c2
MD5 499c44486586d59a6de9461f87212839
BLAKE2b-256 1e5a3dcf8f1a3b6fcbdebcb3f3b94082973ec0384d40bfcd3d59dcec17991dca

See more details on using hashes here.

File details

Details for the file cacheing-0.1.1-py3-none-any.whl.

File metadata

  • Download URL: cacheing-0.1.1-py3-none-any.whl
  • Upload date:
  • Size: 10.5 kB
  • Tags: Python 3
  • Uploaded using Trusted Publishing? No
  • Uploaded via: poetry/1.2.2 CPython/3.10.3 Windows/10

File hashes

Hashes for cacheing-0.1.1-py3-none-any.whl
Algorithm Hash digest
SHA256 3719f9d5c2a846ed2839d65a76c4bd5bd4c440fa37d92af998545a7fa571ee3f
MD5 7b9b9a7ea030defc34090abc931681bb
BLAKE2b-256 d2c8c8d8668700b51dd99dfda012f3ba0fd013ff685f8a6665ecff3b61f12fe1

See more details on using hashes here.

Supported by

AWS Cloud computing and Security Sponsor Datadog Monitoring Depot Continuous Integration Fastly CDN Google Download Analytics Pingdom Monitoring Sentry Error logging StatusPage Status page