Skip to main content

Directed Acyclic Graph implementation for Django & Postgresql

Project description

Django & Postgresql-based Directed Acyclic Graphs

The main distinguishing factor for this project is that it can retrieve entire sections of a graph in a single query. The trade off is portability: it uses Postgres Common Table Expressions (CTE) to achieve this and is therefore not compatible with other databases.

NOTE: Not all methods which would benefit from CTEs use them yet.

NOTE: This project is a work in progress. While functional, it is not optimized. Currently, it provides numerous methods for retrieving nodes, and a few for retrieving edges within the graph.

Most Simple Example:

models.py

from django.db import models
from django_postgresql_dag.models import node_factory, edge_factory

class NetworkEdge(edge_factory("NetworkNode", concrete=False)):
    name = models.CharField(max_length=100)

    def __str__(self):
        return self.name

    def save(self, *args, **kwargs):
        self.name = f"{self.parent.name} {self.child.name}"
        super().save(*args, **kwargs)


class NetworkNode(node_factory(NetworkEdge)):
    name = models.CharField(max_length=100)

    def __str__(self):
        return self.name

Add some Instances via the Shell (or in views, etc)

~/myapp$ python manage.py shell
>>> from myapp.models import NetworkNode, NetworkEdge

>>> root = NetworkNode.objects.create(name="root")

>>> a1 = NetworkNode.objects.create(name="a1")
>>> a2 = NetworkNode.objects.create(name="a2")
>>> a3 = NetworkNode.objects.create(name="a3")

>>> b1 = NetworkNode.objects.create(name="b1")
>>> b2 = NetworkNode.objects.create(name="b2")
>>> b3 = NetworkNode.objects.create(name="b3")
>>> b4 = NetworkNode.objects.create(name="b4")

>>> c1 = NetworkNode.objects.create(name="c1")
>>> c2 = NetworkNode.objects.create(name="c2")

>>> root.add_child(a1)
>>> root.add_child(a2)
>>> a3.add_parent(root)  # You can add from either side of the relationship

>>> b1.add_parent(a1)
>>> a1.add_child(b2)
>>> a2.add_child(b2)
>>> a3.add_child(b3)
>>> a3.add_child(b4)

>>> b3.add_child(c2)
>>> b3.add_child(c1)
>>> b4.add_child(c1)

Resulting Database Tables

myapp_networknode

 id | name
----+------
 1  | root
 2  | a1
 3  | a2
 4  | a3
 5  | b1
 6  | b2
 7  | b3
 8  | b4
 9  | c1
 10 | c2

myapp_networkedge

id  | child_id | parent_id | name
----+----------+-----------+---------
 1  |       2  |         1 | root a1
 2  |       3  |         1 | root a2
 3  |       4  |         1 | root a3
 4  |       5  |         2 | a1 b1
 5  |       6  |         2 | a1 b2
 6  |       6  |         3 | a2 b2
 7  |       7  |         4 | a3 b3
 8  |       8  |         4 | a3 b4
 9  |       10 |         7 | b3 c2
 10 |       9  |         7 | b3 c1
 11 |       9  |         8 | b4 c1

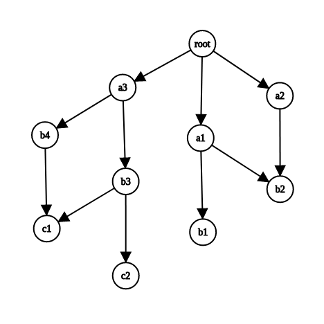
Diagramatic View

Diagram of Resulting Graph

Work with the Graph in the Shell (or in views, etc)

~/myapp$ python manage.py shell
>>> from myapp.models import NetworkNode, NetworkEdge

# Descendant methods which return ids

>>> root.descendants_ids()
[2, 3, 4, 5, 6, 7, 8, 9, 10]
>>> root.self_and_descendants_ids()
[1, 2, 3, 4, 5, 6, 7, 8, 9, 10]
>>> root.descendants_and_self_ids()
[10, 9, 8, 7, 6, 5, 4, 3, 2, 1]

# Descendant methods which return a queryset

>>> root.descendants()
<QuerySet [<NetworkNode: a1>, <NetworkNode: a2>, <NetworkNode: a3>, <NetworkNode: b1>, <NetworkNode: b2>, <NetworkNode: b3>, <NetworkNode: b4>, <NetworkNode: c1>, <NetworkNode: c2>]>
>>> root.self_and_descendants()
<QuerySet [<NetworkNode: root>, <NetworkNode: a1>, <NetworkNode: a2>, <NetworkNode: a3>, <NetworkNode: b1>, <NetworkNode: b2>, <NetworkNode: b3>, <NetworkNode: b4>, <NetworkNode: c1>, <NetworkNode: c2>]>
>>> root.descendants_and_self()
[<NetworkNode: c2>, <NetworkNode: c1>, <NetworkNode: b4>, <NetworkNode: b3>, <NetworkNode: b2>, <NetworkNode: b1>, <NetworkNode: a3>, <NetworkNode: a2>, <NetworkNode: a1>, <NetworkNode: root>]

# Ancestor methods which return ids

>>> c1.ancestors_ids()
[1, 4, 7, 8]
>>> c1.ancestors_and_self_ids()
[1, 4, 7, 8, 9]
>>> c1.self_and_ancestors_ids()
[9, 8, 7, 4, 1]

# Ancestor methods which return a queryset

>>> c1.ancestors()
<QuerySet [<NetworkNode: root>, <NetworkNode: a3>, <NetworkNode: b3>, <NetworkNode: b4>]>
>>> c1.ancestors_and_self()
<QuerySet [<NetworkNode: root>, <NetworkNode: a3>, <NetworkNode: b3>, <NetworkNode: b4>, <NetworkNode: c1>]>
>>> c1.self_and_ancestors()
[<NetworkNode: c1>, <NetworkNode: b4>, <NetworkNode: b3>, <NetworkNode: a3>, <NetworkNode: root>]

# Get the node's clan (all ancestors, self, and all descendants)

>>> b3.clan_ids()
[1, 4, 7, 9, 10]
>>> b3.clan()
<QuerySet [<NetworkNode: root>, <NetworkNode: a3>, <NetworkNode: b3>, <NetworkNode: c1>, <NetworkNode: c2>]>

# Get all roots or leaves associated with the node

>>> b3.get_roots()
{<NetworkNode: root>}
>>> b3.get_leaves()
{<NetworkNode: c1>, <NetworkNode: c2>}

# Perform path search

>>> root.path_ids_list(c1)
[[1, 4, 7, 9]]
>>> c1.path_ids_list(root)
Traceback (most recent call last):
  File "<input>", line 1, in <module>
    c1.path_ids_list(root)
  File "/home/runner/pgdagtest/pg/models.py", line 313, in path_ids_list
    raise NodeNotReachableException
pg.models.NodeNotReachableException
>>> c1.path_ids_list(root, directional=False)
[[1, 4, 7, 9]]
>>> root.path_ids_list(c1, max_paths=2)
[[1, 4, 7, 9], [1, 4, 8, 9]]
>>> root.shortest_path(c1)
<QuerySet [<NetworkNode: root>, <NetworkNode: a3>, <NetworkNode: b3>, <NetworkNode: c1>]>
>>> c1.shortest_path(root)
Traceback (most recent call last):
  File "<input>", line 1, in <module>
    c1.shortest_path(root)
  File "/home/runner/pgdagtest/pg/models.py", line 323, in shortest_path
    return self.filter_order_ids(self.path_ids_list(target_node, directional=directional)[0])
  File "/home/runner/pgdagtest/pg/models.py", line 313, in path_ids_list
    raise NodeNotReachableException
pg.models.NodeNotReachableException
>>> c1.shortest_path(root, directional=False)
<QuerySet [<NetworkNode: root>, <NetworkNode: a3>, <NetworkNode: b4>, <NetworkNode: c1>]>

# Get a queryset of edges relatd to a particular node

>>> a1.ancestors_edges()
<QuerySet [<NetworkEdge: root a1>]>
>>> b4.descendants_edges()
<QuerySet [<NetworkEdge: b4 c1>]>
>>> b4.clan_edges()
{<NetworkEdge: b4 c1>, <NetworkEdge: root a3>, <NetworkEdge: a3 b4>}

# Get the nodes at the start or end of an edge

>>> e1.parent
<NetworkNode: root>
>>> e1.child
<NetworkNode: a1>

>>> e2.parent
<NetworkNode: b4>
>>> e2.child
<NetworkNode: c1>

# Edge-specific Manager methods

>>> NetworkEdge.objects.descendants(b3)
<QuerySet [<NetworkEdge: b3 c2>, <NetworkEdge: b3 c1>]>
>>> NetworkEdge.objects.ancestors(b3)
<QuerySet [<NetworkEdge: a3 b3>, <NetworkEdge: root a3>]>
>>> NetworkEdge.objects.clan(b3)
<QuerySet [<NetworkEdge: root a3>, <NetworkEdge: a3 b3>, <NetworkEdge: b3 c2>, <NetworkEdge: b3 c1>]>
>>> NetworkEdge.objects.shortest_path(root, c1)
<QuerySet [<NetworkEdge: root a3>, <NetworkEdge: a3 b3>, <NetworkEdge: b3 c1>]>
>>> NetworkEdge.objects.shortest_path(c1, root)
Traceback (most recent call last):
  File "<input>", line 1, in <module>
    NetworkEdge.objects.shortest_path(c1, root)
  File "/home/runner/pgdagtest/pg/models.py", line 425, in shortest_path
    self.model.objects, ["parent_id", "child_id"], start_node.path_ids_list(end_node)[0]
  File "/home/runner/pgdagtest/pg/models.py", line 313, in path_ids_list
    raise NodeNotReachableException
pg.models.NodeNotReachableException
>>> NetworkEdge.objects.shortest_path(c1, root, directional=False)
<QuerySet [<NetworkEdge: root a3>, <NetworkEdge: a3 b4>, <NetworkEdge: b4 c1>]>

Credits:

  1. This excellent blog post
  2. django-dag
  3. django-dag-postgresql
  4. django-treebeard-dag

Project details


Download files

Download the file for your platform. If you're not sure which to choose, learn more about installing packages.

Source Distribution

django-postgresql-dag-0.0.13.tar.gz (19.4 kB view details)

Uploaded Source

Built Distribution

If you're not sure about the file name format, learn more about wheel file names.

django_postgresql_dag-0.0.13-py3-none-any.whl (12.0 kB view details)

Uploaded Python 3

File details

Details for the file django-postgresql-dag-0.0.13.tar.gz.

File metadata

  • Download URL: django-postgresql-dag-0.0.13.tar.gz
  • Upload date:
  • Size: 19.4 kB
  • Tags: Source
  • Uploaded using Trusted Publishing? No
  • Uploaded via: twine/3.2.0 pkginfo/1.5.0.1 requests/2.23.0 setuptools/50.3.1 requests-toolbelt/0.9.1 tqdm/4.48.0 CPython/3.8.2

File hashes

Hashes for django-postgresql-dag-0.0.13.tar.gz
Algorithm Hash digest
SHA256 a87f491b810ce7aa157e546483a4e844d7c13045be3e9f8ec6187bcb36b597d2
MD5 c9557e39b3c04c5668cb30e8cfe2de00
BLAKE2b-256 3eadc9964a4dc45d3c4fc4a2863a2dd7ab53279c1ea910b40eef7e706f47f11c

See more details on using hashes here.

File details

Details for the file django_postgresql_dag-0.0.13-py3-none-any.whl.

File metadata

  • Download URL: django_postgresql_dag-0.0.13-py3-none-any.whl
  • Upload date:
  • Size: 12.0 kB
  • Tags: Python 3
  • Uploaded using Trusted Publishing? No
  • Uploaded via: twine/3.2.0 pkginfo/1.5.0.1 requests/2.23.0 setuptools/50.3.1 requests-toolbelt/0.9.1 tqdm/4.48.0 CPython/3.8.2

File hashes

Hashes for django_postgresql_dag-0.0.13-py3-none-any.whl
Algorithm Hash digest
SHA256 6e738944902c9c8234ffe3397ac897464c552cc64d54de7287650c6db377f89f
MD5 75483b57f08a4a18d5a53d51196bd3eb
BLAKE2b-256 064b504c79e20d7fe0b96138eded042d14fee1e03fd3220cb24730081f5651dd

See more details on using hashes here.

Supported by

AWS Cloud computing and Security Sponsor Datadog Monitoring Depot Continuous Integration Fastly CDN Google Download Analytics Pingdom Monitoring Sentry Error logging StatusPage Status page