Skip to main content

Draw little expression graphs; made to be hacked on.

Project description

expr

Create simple visualisations of mathematical operations on small datasets by rendering an expression graph, show your friends or serialise it for later.

Contents

Usage

Examples follow using the Python interactive shell

Starting out

Import some things from the module

from expr import Expr, NumExpr

Construct an expression

expr = Expr(
    operation_name='+',
    arguments=[
        NumExpr(number=1),
        Expr(
            operation_name='/',
            arguments=[
                NumExpr(number=2),
                NumExpr(number=3),
            ]
        )
    ]
)

Get an answer

>> expr.resolve()
1.6666666666666665

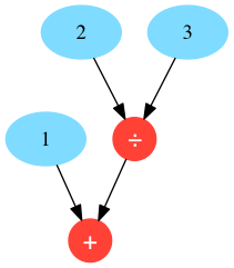
Draw a graph

>> graph = expr.graph()
>> graph.write_png('example.png')
True

example.png

example

Less verbosity

Import things using as to save your typing fingers by aliasing those characters away. In Python we don’t really need to care if functions specify keyword or positional signatures, so let’s not bother with those wordy keywords, hey.

>>> from expr import Expr as E, NumExpr as N
>>> expr = E('/', [N(22), N(7)])
>>> expr.resolve()
3.142857142857143
>>> expr.graph().write_png('pi.png')
True

pi.png

pi

Involving pandas

We can create expressions that involve more than just numbers …

>>> import pandas
>>> from expr import (
...     Expr as E,
...     NumExpr as N,
...     DataFrameExpr as D,
... )

Create some stupid datasets

>>> def two_by_four():
...     data = [(n + 1, n + 1) for n in range(4)]
...     return pandas.DataFrame.from_records(data=data, columns=['a', 'b'])

>>> df_A = two_by_four()
>>> df_B = two_by_four()
>>> df_A
   a  b
0  1  1
1  2  2
2  3  3
3  4  4

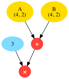
Create the expression object, the DataFrameExpr object (aliased here as D) takes an optional argument name which will be used as a label if present, otherwise an automatically generated label will applied.

>>> expr = E('*', [N(3), E('+', [D(df_A, 'A'), D(df_B, 'B')])])
>>> expr.graph().write_png('dataframe.png')
True
>>> expr.resolve()
    0   1
0   6   6
1  12  12
2  18  18
3  24  24

dataframe.png

dataframe

Serialising

Let’s serialise the above example using JSON, any arguments passed to the serialise method are used when the serialiser function is applied.

>>> import json
>>> print(expr.serialise(json.dumps, indent=4))
{
    "__type__": "Expr",
    "operation_name": "*",
    "arguments": [
        {
            "__type__": "NumExpr",
            "number": 3.0
        },
        {
            "__type__": "Expr",
            "operation_name": "+",
            "arguments": [
                {
                    "__type__": "DataFrameExpr",
                    "name": "A",
                    "dataframe": {
                        "a": {
                            "0": 1,
                            "1": 2,
                            "2": 3,
                            "3": 4
                        },
                        "b": {
                            "0": 1,
                            "1": 2,
                            "2": 3,
                            "3": 4
                        }
                    }
                },
                {
                    "__type__": "DataFrameExpr",
                    "name": "B",
                    "dataframe": {
                        "a": {
                            "0": 1,
                            "1": 2,
                            "2": 3,
                            "3": 4
                        },
                        "b": {
                            "0": 1,
                            "1": 2,
                            "2": 3,
                            "3": 4
                        }
                    }
                }
            ]
        }
    ]
}

Getting funccy

The final expression provided in this package is FuncExpr, which applies arbitrary functions to the arguments supplied (which should be objects implementing a resolve method). Keywords are also applied, probably for specifying options, which do not have to be expression objects. A contrived example of FuncExpr use follows.

Do some smart imports

import pandas
from expr import (
    Expr as E,
    NumExpr as N,
    DataFrameExpr as D,
    FuncExpr as F,
)

Define a factory function for creating DataFrame objects

def x_by_y(x, y, columns=False):
    data = [[a + b for b in range(x)] for a in range(y)]
    if columns is False:
        columns = [chr(97 + c) for c in range(x)]
    return pandas.DataFrame.from_records(data=data, columns=columns)

Crank out some df’s for later use

df_A = x_by_y(3, 4)
df_B = x_by_y(3, 4)
df_C = x_by_y(3, 4)

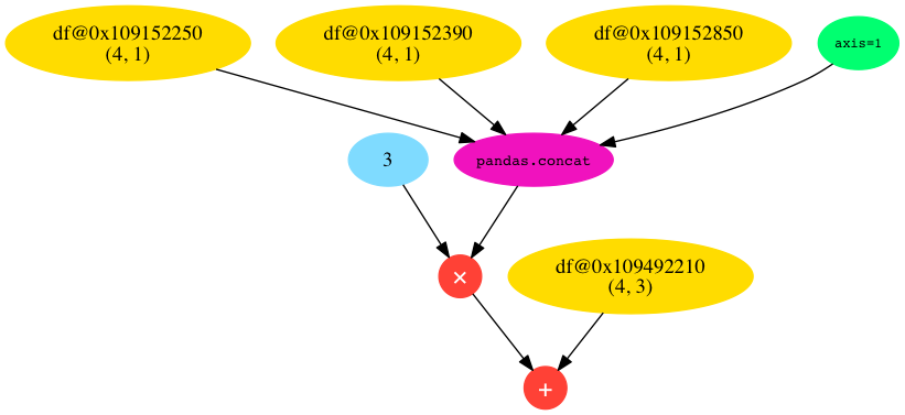
Now set up out expression and look at its graph

expr = E('+',
    [
        E('*',
            [
                N(3),
                F('pandas.concat',
                    [
                        D(x_by_y(1, 4, ['a'])),
                        D(x_by_y(1, 4, ['b'])),
                        D(x_by_y(1, 4, ['c'])),
                    ], axis=1
                )
            ]
        ),
        D(x_by_y(3, 4))
    ]
)
G = expr.graph()
G.write_png('func.png')

func.png

func

Crazy ish

Why not very clumsily visualise a call stack for your audience’s pleasure?

Known Issues

If you like YAML, serialising pandas objects, may be problematic, but JSON should be fine.

Also

Colours courtesy of clrs.cc

Project details


Download files

Download the file for your platform. If you're not sure which to choose, learn more about installing packages.

Source Distribution

expr-0.0.1h.tar.gz (6.5 kB view details)

Uploaded Source

File details

Details for the file expr-0.0.1h.tar.gz.

File metadata

  • Download URL: expr-0.0.1h.tar.gz
  • Upload date:
  • Size: 6.5 kB
  • Tags: Source
  • Uploaded using Trusted Publishing? No

File hashes

Hashes for expr-0.0.1h.tar.gz
Algorithm Hash digest
SHA256 6b99490b24bf91e63b3fb12dba679b3092b467fcce5ba62efc6c4e839059a805
MD5 654bd5c0eca933e190d27f0d4209017f
BLAKE2b-256 2bcd89c913fd7faf9e277def5cc1d5926c9cadd9f9e0318dc021b9755c6800a9

See more details on using hashes here.

Supported by

AWS Cloud computing and Security Sponsor Datadog Monitoring Depot Continuous Integration Fastly CDN Google Download Analytics Pingdom Monitoring Sentry Error logging StatusPage Status page