DimmerAttenuation is a standalone python library with Fortran legacy routines for absorption (attenuation).
Project description
DimmerAttenuation
11;rgb:0000/0000/0000## Attenuation laws legacy software written in Fortran 2003+
Author: Jean Gomes
Contact:
- Jean Gomes: antineutrinomuon@gmail.com
last stable version: 0.0.1
About
DimmerAttenuation is a software program designed for absorption (ATTENUATION) in the UV/optical region with legacy Fortran 2003+ routines.
RESUME
Overview:
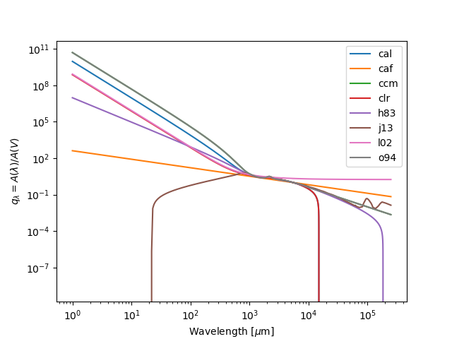
DimmerAttenuation is a flexible Python library tailored for utilizing legacy Fortran 2003+ routines. These routines enable the correction of observed spectra or emission lines through attenuation laws. Additionally, DimmerAttenuation facilitates the application of attenuation to hypothetical spectra, such as models. The code assumes a uniform dust screen model for the dust absoprtion.
Key Features:
Apply attenuation or correct attenuation of spectra or lines.
Getting Started:
--------------------------------------------------------------------
Your code has been rated at 10.00/10 (previous run: 10.00/10, +0.00)
INSTALLATION
You can easily install DimmerAttenuation by using pip - PyPI - The Python Package Index:
pip install DimmerAttenuation
or by using a generated conda repository https://anaconda.org/neutrinomuon/DimmerAttenuation:
conda install -c neutrinomuon DimmerAttenuation
OBS.: Linux, OS-X ad Windows pre-compilations available in conda.
You can also clone the repository and install by yourself in your machine:
git clone https://github.com/neutrinomuon/DimmerAttenuation
python setup.py install
Contributor
- Jean Gomes (Software Developer, Advisor): Jean is primarily responsible for the software development and implementation of DimmerAttenuation.
| LOGS | |
| 03/27/2024 | J.G. submitted the routines to githu platform |
LICENSE
This software is provided "AS IS" (see DISCLAIMER below). Permission to use, for non-commercial purposes is granted. Permission to modify for personal or internal use is granted, provided this copyright and disclaimer are included in ALL copies of the software. All other rights are reserved. In particular, redistribution of the code is not allowed without explicit permission by the author.
THE SOFTWARE IS PROVIDED "AS IS", WITHOUT WARRANTY OF ANY KIND, EXPRESS OR IMPLIED, INCLUDING BUT NOT LIMITED TO THE WARRANTIES OF MERCHANTABILITY, FITNESS FOR A PARTICULAR PURPOSE AND NONINFRINGEMENT. IN NO EVENT SHALL THE AUTHORS OR COPYRIGHT HOLDERS BE LIABLE FOR ANY CLAIM, DAMAGES OR OTHER LIABILITY, WHETHER IN AN ACTION OF CONTRACT, TORT OR OTHERWISE, ARISING FROM, OUT OF OR IN CONNECTION WITH THE SOFTWARE OR THE USE OR OTHER DEALINGS IN THE SOFTWARE.
Project details
Release history Release notifications | RSS feed
Download files
Download the file for your platform. If you're not sure which to choose, learn more about installing packages.
Source Distribution
File details
Details for the file dimmerattenuation-0.0.1.tar.gz.
File metadata
- Download URL: dimmerattenuation-0.0.1.tar.gz
- Upload date:
- Size: 27.6 kB
- Tags: Source
- Uploaded using Trusted Publishing? No
- Uploaded via: twine/5.0.0 CPython/3.11.5
File hashes
| Algorithm | Hash digest | |
|---|---|---|
| SHA256 |
43a3fe9514ee76f0746972124bf07cfc3760a1c49094fc119ef5a735169ce7e5
|
|
| MD5 |
d1fea93ffb24b4df31e205f0c65e6ad8
|
|
| BLAKE2b-256 |
b243716a52eb834538687c2032fb136263cf03f0bee97556ab09ce6ff6c0f038
|