Skip to main content

This is the official implementation of Reinforced EM, a parametric density-based clustering method

Project description

REMclust


Introduction

REMclust is a Python package for model-based clustering based on Gaussian mixture models. It uses a peak finding criterion to find modes within the data set. An initial mode set is taken to be the means in Gaussian components.

Once the initial mode set has been selected, an iterative procedure comprising two blocks is triggered. A mixture is produced for each iteration.

  1. An EM block to fit the covariances and mixing proportions of the components
  2. A pruning block to remove one of the components as part of an efficient model selection strategy.

Additional functionalities are available for displaying and visualising fitted models and clustering results.


Data

The data set used in this vignette is the Palmer Archipelago (Antarctica) Penguin Data. In this particular data set, the features are measured across different scales, for example, culmen depth ranges from 13.1 to 21.5, while body mass ranges from 2700 to 6300. This difference in scale can negatively impact the clustering accuracy, so standardisation was performed. Standardisation ensures that all features are measured in comparable scales and is the process that is recommended when the data set that is being clustered has features that vary widely in scale. The following methods are used to load the dataset.

import numpy as np
from sklearn import preprocessing

from REMclust import REM
data = np.genfromtxt('Data/penguin.csv', delimiter=",")
x = data[:,1:]
y = data[:, 0]
labels = ['Culmen Length', 'Culmen Depth', 'Flipper Length', 'Body Mass', 'Delta 15 N (o/oo)', 'Delta 13 C (o/oo)']
x = x[1:,:]
scaler = preprocessing.StandardScaler().fit(x)
x = scaler.transform(x)

n_samples, n_features = x.shape

Initialisation

The first step in applying REM to the data set is to initialise an REM object.

REM(data, covariance_type='full', criteria='all', bandwidth='diagonal', tol=1e-3, reg_covar=1e-6, max_iter=100)
  • data (array-like of shape (n_samples, n_features)): The data the model is being fitted to.
  • covariance_type {'full', 'tied', 'diag', 'spherical'}: A string describing the type of covariance parameters to use. full: each component has its own general covariance matrix. tied: all components share the same general covariance matrix. diag: each component has its own diagonal covariance matrix. spherical: each component has its own single variance.
  • criteria {'all', 'aic', 'bic', 'icl'}: A string defining the criterion score used in model selection. At the end of each iteration of REM, a mixture is produced. The mixture that minimises this score will be taken as the optimal clustering.
  • bandwidth ({'diagonal', 'spherical', 'normal_reference'}, int, float): Either a string, integer, or floating point number that defines the bandwidth used when finding the modes.
  • tol (float): The convergence threshold. EM iterations will stop when the lower bound average gain is below this threshold.
  • reg_covar (float): Non-negative regularisation added to the diagonal of covariance. Allows to ensure that the covariance matrices are all positive.
  • max_iter (int): The number of EM iterations to perform.
bndwk = int(np.floor(np.min((30, np.log(n_samples)))))
cluster = REM(data=x, covariance_type="full", criteria="icl",bandwidth=bndwk, tol=1e-4)

Mode Selection

The user must select the initial mode set. To do this, they must select a distance_threshold and density_threshold. To aid in this, the method

REM.mode_decision_plot()

is provided. This method draws two plots. One is a plot of the distance between a point to its nearest neighbour with a higher density against the points' density. This plot will allow the user to select the appropriate thresholds. The ideal modes have both a high distance and density. The second plot shows the product of the distance and the density for each point, allowing the user to determine the likely number of modes easily.

cluster.mode_decision_plot()

REMclust also provides the method:

REM.kde_contour_plot(dimensions=None, axis_labels=None)
  • dimensions (list(int)): A list of integers that defines the features that will be plotted. If left as None, all features will be plotted.
  • axis_labels (list(str)): A list of strings that define the labels for the axes.

This method provides a contour plot of the estimated KDE densities.

cluster.kde_contour_plot(dimensions=[1, 2, 4, 5], axis_labels=[labels[1], labels[2], labels[4], labels[5]])

Clustering

To perform clustering, the following method is run:

fit(max_components=5, density_threshold=None, distance_threshold=None)
  • max_components (int): An integer that defines the initial size of the mode set. The modes with the highest $density \times distance$ will fill the set.
  • density_threshold (float): A float defining the mode's density threshold. A mode must have a higher density to be included in the initial mode set.
  • distance_threshold (float): A float defining the mode's distance threshold. A mode must have a higher distance to be included in the initial mode set.

Note: There are two possible ways to define the mode set:

  1. Setting the max components value k, in which the k modes with the highest $density \times distance$ will be included in the initial mode set.
  2. Setting the two thresholds will include the modes exceeding both in the initial mode set.

Should the user set the max components and the thresholds, the mode set created by the thresholds will be preferred.

cluster.fit(density_threshold = 1.6, distance_threshold = 3)

Visualisation

REMclust provides visualisation tools that allow the user to explore the clustering results. The first of these is:

REM.classification_plot(mixture_selection='', dimensions=None, axis_labels=None)

A plot of the classification of the data on which the clustering was performed.

  • mixture_selection {'', 'aic', bic', 'icl'} This defines whether the user would like to plot the results from the model selected by AIC, BIC, or ICL. This is required if the initial criterion was set to 'all'. Otherwise, it should not be set.
  • dimensions (list(int)): A list of integers that defines the features that will be plotted. If left as None all features will be plotted.
  • axis_labels (list(str)): A list of strings that define the labels for the axes.
cluster.classification_plot(dimensions=[0,1,2], axis_labels=[labels[0], labels[1], labels[2]])

Another visualisation method provided by REMclust is:

REM.uncertainty_plot(mixture_selection='', dimensions=None, axis_labels=None)

A plot of the uncertainty of the data that the clustering was performed on. Uncertainty is measured as the inverse of the difference between the probability that a point belongs to the assigned cluster and the probability that it belongs to the next most likely cluster. The uncertainty score for a point is represented by its size in the scatter plot

  • mixture_selection {'', 'aic', bic', 'icl'} This defines whether the user would like to plot the results from the model selected by AIC, BIC, or ICL. This is required if the initial criterion was set to 'all'. Otherwise, it should not be set.
  • dimensions (list(int)): A list of integers that defines the features that will be plotted. If left as None all features will be plotted.
  • axis_labels (list(str)): A list of strings that define the labels for the axes.
cluster.uncertainty_plot()

Finally, REMclust provides:

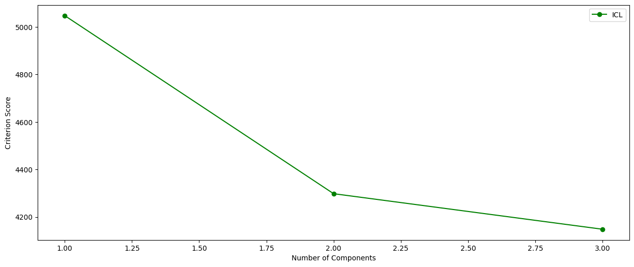
REM.criterion_plot()

A plot of the criterion scores for the different models fit

cluster.criterion_plot()

Summary

As well as visualisations, REMclust also provides a method that prints text-based summaries of the clustering results.

REM.summary(parameters=False, classification=False, criterion_scores=False)
  • parameters (boolean): If TRUE, the parameters of mixture components are printed.
  • classification (boolean): If TRUE, a table of classifications/clustering of observations is printed.
  • criterion_scores (boolean): If TRUE, all the tested models' criterion scores are printed.
cluster.summary(parameters=True, classification=True, criterion_scores=True)
ICL scores:
Number of components      ICL            
1                         5047.430917914943
2                         4297.94941510035
3                         4148.377773911351

REM full model with 3 components.

Log-Likelihood            n     ICL            
-5.557734230801972        330   5047.430917914943

Clustering Table:
   0   1   2
 142  66 122

Mixing proportions:
                     0                     1                     2
    0.4298003096720814   0.20016916200970244   0.37003052831821626

Means:
                                        [,0]                  [,1]                  [,2]                  [,3]                  [,4]                  [,5]
                  [0,]   -1.4428802310212794   0.09847251687109626   -1.0265979344127258   -1.1391980159992219    0.3155521383966185   -0.7729366056647325
                  [1,]    1.3519480199837914    0.9589566596231957  -0.02238822512058244   -0.3306680319415391    1.2786263024434288    1.6899270286191586
                  [2,]    0.6348539292653853   -1.5718790543535683    0.7666336893232445    0.8199323299867016   -1.1008070686917295   -0.6913133901121228

Variances:
[0,,]
                                        [,0]                  [,1]                  [,2]                  [,3]                  [,4]                  [,5]
                  [0,]    0.4822812184430567    0.3738893956467974     0.193523105176551   0.40423726432377793 -0.003501864571959848     0.329894630536289
                  [1,]    0.3738893956467974    0.6550574932653658   0.21753500797095157    0.4741998306014431  -0.00992735456677892    0.3937308037948014
                  [2,]   0.19352310517655102   0.21753500797095157    0.2718029819739479    0.2468028741147682  -0.04353334076528556  0.050373041668713446
                  [3,]   0.40423726432377804    0.4741998306014431   0.24680287411476814    0.5804133660047892  -0.04564674250026045    0.3120111725984246
                  [4,] -0.003501864571959848  -0.00992735456677892  -0.04353334076528556  -0.04564674250026045     0.605721076965007   0.24359100999515984
                  [5,]     0.329894630536289   0.39373080379480146   0.05037304166871344    0.3120111725984246    0.2435910099951599    0.9734990100580053
[1,,]
                                        [,0]                  [,1]                  [,2]                  [,3]                  [,4]                  [,5]
                  [0,]    0.6030243673968754   0.36971785590641787    0.3180714184444992    0.2819457120118386   0.13972172089522267   0.14283451171713746
                  [1,]   0.36971785590641787   0.42031932795360744    0.2774602915474537    0.2492296460273077    0.0896044343842434   0.09098707945986677
                  [2,]    0.3180714184444992    0.2774602915474537    0.3948606216756481   0.26022526338261737   0.15322162166230058    0.1130208353320999
                  [3,]    0.2819457120118386   0.24922964602730777   0.26022526338261737    0.3080550789154811   0.03108846196186896   0.07151058239485042
                  [4,]   0.13972172089522264   0.08960443438424338    0.1532216216623006  0.031088461961868954    0.4724004958694611  0.008903299028650682
                  [5,]   0.14283451171713746   0.09098707945986678   0.11302083533209989   0.07151058239485043  0.008903299028650669   0.14296027583057802
[2,,]
                                        [,0]                  [,1]                  [,2]                  [,3]                  [,4]                  [,5]
                  [0,]    0.3237502041668178    0.1832232100008559   0.17627326183722639   0.24011283063151295  0.039792481708646285  0.008945551681238563
                  [1,]    0.1832232100008559    0.4963399760152181    0.3486971318082281   0.34961971873551334   0.15621370324790285  0.007855296319765621
                  [2,]   0.17627326183722639    0.3486971318082281   0.35462935635233916     0.298456233903807   0.14700826635676648 -0.006249823224869592
                  [3,]   0.24011283063151295   0.34961971873551334     0.298456233903807   0.45821934107892376   0.09832322755784137  0.052332556416111606
                  [4,]  0.039792481708646285   0.15621370324790287   0.14700826635676648   0.09832322755784138    0.2770290751477198  -0.17808975073244143
                  [5,]  0.008945551681238567  0.007855296319765621   -0.0062498232248696  0.052332556416111606  -0.17808975073244143   0.47245403005359093

Project details


Download files

Download the file for your platform. If you're not sure which to choose, learn more about installing packages.

Source Distribution

REMclust-1.2.tar.gz (31.8 kB view details)

Uploaded Source

Built Distribution

If you're not sure about the file name format, learn more about wheel file names.

REMclust-1.2-py3-none-any.whl (27.4 kB view details)

Uploaded Python 3

File details

Details for the file REMclust-1.2.tar.gz.

File metadata

  • Download URL: REMclust-1.2.tar.gz
  • Upload date:
  • Size: 31.8 kB
  • Tags: Source
  • Uploaded using Trusted Publishing? No
  • Uploaded via: twine/4.0.2 CPython/3.11.0

File hashes

Hashes for REMclust-1.2.tar.gz
Algorithm Hash digest
SHA256 81b5dca74a5c51079a97ab0c24baa8a1167ae8519d9dd7b152d76c4fa9c0baf9
MD5 486141ff40eea5c4696719f73daae009
BLAKE2b-256 f3b88d76daed087f81cc1c63b18bcac481eb5eec1ead3dd893090faeacf30585

See more details on using hashes here.

File details

Details for the file REMclust-1.2-py3-none-any.whl.

File metadata

  • Download URL: REMclust-1.2-py3-none-any.whl
  • Upload date:
  • Size: 27.4 kB
  • Tags: Python 3
  • Uploaded using Trusted Publishing? No
  • Uploaded via: twine/4.0.2 CPython/3.11.0

File hashes

Hashes for REMclust-1.2-py3-none-any.whl
Algorithm Hash digest
SHA256 95365cbcf87142f43b04b15bccf89665f41cbe7db677c43a36a0192e65360a1a
MD5 7b5382d34d3f92c9ca90771747118a6f
BLAKE2b-256 ac3f04f2607a6e176a6659e4ecc201e7f28338f0e2c827441deca05868d3b880

See more details on using hashes here.

Supported by

AWS Cloud computing and Security Sponsor Datadog Monitoring Depot Continuous Integration Fastly CDN Google Download Analytics Pingdom Monitoring Sentry Error logging StatusPage Status page