Skip to main content

GPU Accelerated Motion Engine based on Taichi Lang

Project description

Overview

TaichiGAME is aim to become a lightweight simulation engine in motion planning and control research fields. And it is written in python and taichi, which combines the traditional numerical methods for solving rigid dynamics equations, model parameters derivation, with parallel implementation capabilites in order to maximize scientists' productivity.

Motivation

I am a postgraduate in school of astronautics and major in aerospace robot guidance, navigation and control. During my first year, I took a class on advanced control theory and was taught many different control algorithms for estimating dynamic model, fitting state curves and so on.

When I carried out a research on asteroid rover motion planning supported by NFSC(National Natural Science Foundation of China), I spent lots of time on learning c++ for writing parallel program to solve complex rigid body dynamics equations. To be honest, achieving all of the details, especially some c++ advanced features, made me thoroughly exhausted. I could not just focus on the algorithms and built rapid prototype to verify it. I thought others feel the same way. After that, I searched online and found no open source, scientific-oriented, out-of-the-box tools or framework to execute such high performance rigid body motion computing. In that case, why not build one? The result of that desire is this project.

Feature

NOTE: Due to my research is still under review and revise, I could not release all results now. At present, I only release the initial physics engine component of TaichiGAME. So I only introduce physics engine component now. In the first half of 2022, I will release other components of TaichiGAME.

To implement the physics engine, I refer to the Physics2D (c++, MIT License) project, and rewrite entire content of it into python with taichi and add more unit tests. The following architecture chart illustrates the basic features:

The basic features of physics component in TaichiGAME
(open it in a new window to browse the larger picture)

What is missing

First, the physics engine component is under alpha phase, so it is lack of stability and reliability. Second, to narrow the development period, I use the easy-to-implement numberical methods, that makes the performance suffer a bit.

Requirements

  1. python>=3.7, <=3.9, because:

    • use from __future__ import annotations to postpone evaluation of annotations (python3.7+ intro)
    • taichi supports the highest version of python is python3.9
  2. taichi>=0.8.0, because:

    • support taichi's new features
    • now TaichiGAME doesn't use the new GGUI (taichi0.8+ intro), so maybe you can use lower version taichi(such as taichi0.7+).
    • NOTE: some TaichiGAME's API is based on specific taichi features. In views of the rapid development of taichi, I don't have much enery and time to maintain TaichiGAME to adapt or be compatiable to multiple different major version of taichi. It can make TaichiGAME too verbose. So I decide to ONLY maintain TaichiGAME to adapt to current major verion plus one latest previous major verion of taichi. For now, because a major version of taichi has not been released yet, I decide to CHANGE the 'major version' of previous policy into 'minor version'. Specifically, I develop and test all features of TaichiGAME in taichi0.8+ , and ONLY maintain compatible version of TaichiGAME to taichi0.7+, the TaichiGAME based on taichi<0.7+ will no longer be maintained.

Install

Installation is simple, you can just type the following command in shell or cmd terminal(Recommend).

$ python3 -m pip install TaichiGAME

After installation, type following command to run the build-in example testbed.py.

$ python3 -m TaichiGAME example testbed

You can type python3 -m TaichiGAME -h and python3 -m TaichiGAME example -h to get detail command line parameters usage. This cli module refers to taichi main module.

NOTE: Recommand use venv to isolate test environment from system directories, you can get more details from Creation of virtual environments.

Another method is git clone this repo, pip install dependencies, and then run the testbed.py from package directly.

$ git clone https://github.com/maksyuki/TaichiGAME.git
$ cd TaichiGAME/
$ python3 -m pip install -r requirements.txt
$ cd TaichiGAME/ # necessary, run main.py in project root path can trigger module import error
$ python3 main.py example testbed

NOTE: When running code, you maybe notice terminal print some informations like [Taichi] version 0.8.7, llvm 10.0.0, commit 1c3c705a, osx, python 3.8.8. I have tested TaichiGAME under taichi>=0.7. Your output maybe different from mine, but it doesn't matter.

Testbed keyborad and mouse control

  • Press esc to exit the gui, space to pause simulation.
  • Press left arrow or right arrow key to switch different frames.
  • Press and hold right mouse button to move viewport position. Roll mouse wheel to zoom in or out the viewport.
  • Press and hold left mouse button to apply a mouse joint constraint to selected shape from the start point(mouse press position) to end point(current mouse hold position).
  • keyboard button function keyboard button function keyboard button function
    q toggle frame visibility w toggle AABB visibility e toggle joint visibility
    r toggle body visibility t toggle axis visibility a toggle dbvh visibility
    s toggle dbvt visibility d toggle grid visibility f toggle rotation line visibility
    g toggle center visibility z toggle contact visibility

Testbed simulation result

  1. dbvt query: this frame is aim to show the dbvt's ability to accelerate the broad phase query of collision. The red rectangle represents the query region, yellow rectangles represent the query results(AABB of the shape).

The dbvt query with smooth viewport zoom in

  1. raycast: this frame casts a ray in given direction. You can move the cast direction by mouse, and the cast shapes are rendered in cyan color.

The raycast from the origin in given direction

  1. bitmask: this frame shows two objects, a square and a ground, are with same bitmask property can contact with each other. In addition, the yellow rectangles represent the real time update result of dbvt.

Three squares contact with ground

  1. collision: those frames show multiple collision examples. First one is a simple collision, second frame shows eight balls hit the ground with different restitution increased from left to right, the last one shows the three squares slide down from slopes with different friction coefficient.

A capsule hit the ground

Eight balls hit the ground with different restitution

Three squares slide down from slopes

  1. stack: this frame shows a free fall square stack. You can apply mouse joint constraint to the shape.

The free fall stack

  1. domino: this frame shows a pendulum strike a domino card and trigger a ripple collison. The surface of ground and slopes are both smooth, so the card can not stay static on it.

The domino simulation

Quick Start

If you want to use TaichiGAME to implement your own simulation. You need to import numpy, taichi and TaichiGAME package first:

import numpy as np
import taichi as ti
import TaichiGAME as tg

ti.init(arch=ti.gpu)

Then, you need to define a instance of Scene class. The Scene class is the base container holding all the resources, such as Frame, Camera and so on.

# api: (class) tg.Scene(name: str, width: int = 1280, height: int = 720, option={})
scene = tg.Scene(name='Your Custom Name')

After that, you need to inherhit base class Frame and implement the load() and render() methods. load() is called once when frame is initialized. If you want to custom extra render, you can implement render() optional. It is called in main render loop.

class YourCustomFrameName(ng.Frame):
    def load():
      ...

    def render():
      ...

At last, you need to register the frame to the scene, initialize the frame and show the scene. Register mulitple frames to the scene is allowed as testbed.py do.

custom_frame = YourCustomFrameName()
scene.register_frame(custom_frame)
scene.init_frame()
scene.show()

If you want to export the result as video or gif, you need to add video or gif config to the scene's options list. Such as:

scene = tg.Scene(name='Your Custom Name', option={'video': True, 'gif': True})

the video or gif is saved as ./export-res/video.mp4 and ./export-res/video.gif by default.

NOTE: TaichiGAME uses taichi's APIs to export video, so you need to install the ffmpeg first. How to install ffmpeg you can refer to Install ffmpeg section of taichi doc.

If you want to know more details, you can refer to the official example testbed.py.

Technical details

In general, the simulation is divided into two parts: physics calculation and frame render. This collision detection pipeline refers to the Box2D and Matter.js.

The simulation flow chart
(open it in a new window to browse the larger picture)

Physics calculation

  1. DBVT(Dynamics Bounding Volume Tree) is a tree data structure that is used to accelerate ray casts, overlap queries, and closest point queries for large worlds. Now the bounding box type of TaichiGAME use is AABB(Axis-Aligned Bounding Box). This data strucutre is a bit like AVL tree. If you want to know more details, you can refer to [1].

  2. GJK(Gilbert–Johnson–Keerthi distance algorithm) is a method of determining the minimum distance between two convex sets. It does not require that the geometry data be stored in any specific format, but instead relies solely on a support function to iteratively generate closer simplices to the correct answer using the configuration space obstacle (CSO) of two convex shapes, more commonly known as the Minkowski difference(from wikipedia). More informations can refer to [2][3][4].

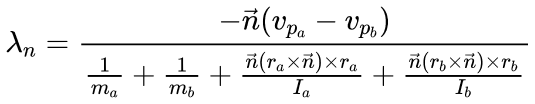
  3. Constraint solving is aim to restrict freedom of movement. TaichiGAME uses impulse-based constraint dynamics to calculate the equation. Based on moment-of-momentum equation and the method of lagrange multipliers, the impulse lambda can be deduced as:

the impuse of a object is Image, the impuse of b object is Image.

To counter the fall of objects, previous equation need to introduce bias item. The penetration error is Image, and according to the Baumgarte Stabilization Method: Image, the bias impuse can be deduced as Image.

Render shape

All the shape's geometry data are provided in body coordinate system. For point/circle, TaichiGAME only uses ti.GUI.circles to draw inner shape with fill color. For polgyon, TaichiGAME uses ti.GUI.triangles to fill the shape by triangulation and uses ti.GUI.lines to draw the outline. Capsule is composed of two circles and one rectangle.

Base geometry shape and render method

Because the polygon is filled by triangulation, TaichiGAME renders one N-vertices polgon need to draw N lines and fill N-2 triangles. Meanwhile, the GUI component of taichi not like GGUI, it cannot render on GPU. So if the frames have too many polygons to render, the workload becomes terrible large. In future, I will rewrite TaichiGAME renderer into GGUI.

Performance optimization

First, I implement a cpu-based testbed(testbed.py), which only use taichi to render the frames. Due to heavy calculation, that makes simulation slowly. After analysis and trade-off, I decide to rewrite some modules to make testbed into taichi-based(ti_testbed.py), the solutions are:

  1. Redesign the calculate structure to fully utilize the taichi computing ability.
  2. Reuse some IO data structure to provide unified external interface.
  3. Design a conversion method to transfer data from 'python' scope into 'taichi' scope.

NOTE: As the final exam is approaching, the optimization is still working in progress. That means the ti_testbed.py is not quite complete.

The different between cpu-based and gpu-based structure

Redesign the calculate structure

Use ti.Vector.field to hold all variables in ti_phy_world.py. Every type of shape has own position and geometry features field.

Reuse the IO data structure

Share common shape module , so you can define frame like cpu-based simulation do:

def load(self) -> None:
    tri_data = [
        ng.Matrix([-1.0, 1.0], 'vec'),
        ng.Matrix([0.0, -2.0], 'vec'),
        ng.Matrix([1.0, -1.0], 'vec'),
        ng.Matrix([-1.0, 1.0], 'vec'),
    ]

    poly_data = [
        ng.Matrix([0.0, 4.0], 'vec'),
        ng.Matrix([-3.0, 3.0], 'vec'),
        ng.Matrix([-4.0, 0.0], 'vec'),
        ng.Matrix([-3.0, -3.0], 'vec'),
        ng.Matrix([0.0, -4.0], 'vec'),
        ng.Matrix([0.0, 4.0], 'vec')
    ]

    rect: ng.Rectangle = ng.Rectangle(0.5, 0.5)
    cir: ng.Circle = ng.Circle(0.5)
    cap: ng.Capsule = ng.Capsule(1.5, 0.5)
    tri: ng.Polygon = ng.Polygon()
    tri.vertices = tri_data
    poly: ng.Polygon = ng.Polygon()
    poly.vertices = poly_data

Design a conversion method

In init_data(self) of ti_phy_world.py, all numpy-based data is converted into taichi-based data.

self._vel[i] = ti.Vector([self._body_list[i].vel.x, self._body_list[i].vel.y])
self._rot[i] = self._body_list[i].rot
self._ang_vel[i] = self._body_list[i].ang_vel
self._force[i] = ti.Vector([self._body_list[i].forces.x, self._body_list[i].forces.y])

Contribution

If you want to contribute to TaichiGAME, be sure to review the guidelines. This is an open project and contributions and collaborations are always welcome!! This project adheres to TaichiGAME's code_of_conduct. By participating, you are expected to uphold this code.

I use GitHub issues for tracking requests and bugs, so please direct specific questions to issues panel.

The TaichiGAME project strives to abide by generally accepted best practices in open-source software development, so feel free to raise a issues :smile:

License

All of the TaichiGAME codes are release under the MIT License.

Acknowledgement

  1. Thank yuanming-hu and taichi-team for creating and maintaining taichi, such an excellent programming language. Meanwile, express thanks to taichi-team to provide free and high-quality taichi course. As well as course's tutor, Tiantian Liu and responsible assistants.

  2. Thanks to ACRL and his engine project Physics2D. In addition, His series posts is full of detailed and understandable contents about graphcs and physics engine. Due to him, I learned a tons of konwledges from sratch.

  3. Use Inkscape 1.1.1 (3bf5ae0d25, 2021-09-20, window x64 version, GPL-3.0) to draw the logo. Use diagrams.net (online, Apache-2.0) to draw flow and architecture charts. Use Shotcut (21.12.24, GPL-3.0) to cut and edit the videos and gifs. Use GeoGebra (online, GPL-3.0) to draw shapes to help debug computational geometry algorithms in TaichiGAME. You can get all resources from TaichiGAME-res repo.

Reference

[1] Physically Based Rendering section 4.3 BVH and DBVH, GDC2019, Erin Catto, Blizzard Entertainment

[2] Foundations of Physically Based Modeling and Animation By Donald H. House, John C. Keyser

[3] Real-Time Collision Detection By Christer Ericson

[4] Game Programming Gems 7 By Scott Jacobs

[5] Continuous Collision, GDC2013, Erin Catto, @erin_catto Principle Software Engineer, Blizzard

[6] Constrained Dynamics, dyn4j, a java collision detection and phyics engine

[7] Contact Manifolds, GDC2007, Erin Catto Blizzard Entertainment

Project details


Download files

Download the file for your platform. If you're not sure which to choose, learn more about installing packages.

Source Distribution

TaichiGAME-0.0.3.tar.gz (74.1 kB view details)

Uploaded Source

Built Distribution

If you're not sure about the file name format, learn more about wheel file names.

TaichiGAME-0.0.3-py3-none-any.whl (83.3 kB view details)

Uploaded Python 3

File details

Details for the file TaichiGAME-0.0.3.tar.gz.

File metadata

  • Download URL: TaichiGAME-0.0.3.tar.gz
  • Upload date:
  • Size: 74.1 kB
  • Tags: Source
  • Uploaded using Trusted Publishing? No
  • Uploaded via: twine/3.7.1 importlib_metadata/4.10.0 pkginfo/1.8.2 requests/2.27.1 requests-toolbelt/0.9.1 tqdm/4.62.3 CPython/3.9.9

File hashes

Hashes for TaichiGAME-0.0.3.tar.gz
Algorithm Hash digest
SHA256 8239aa3a46df27fd2eba9d851c92527bcea90cf1a64b9e8a6aba27fef8defecd
MD5 2042597aed66f1b78f806fd098652a10
BLAKE2b-256 a0ebdeebe4c7428b68881a2a7b555790c5326fc408827ae5e2078ae291e09447

See more details on using hashes here.

File details

Details for the file TaichiGAME-0.0.3-py3-none-any.whl.

File metadata

  • Download URL: TaichiGAME-0.0.3-py3-none-any.whl
  • Upload date:
  • Size: 83.3 kB
  • Tags: Python 3
  • Uploaded using Trusted Publishing? No
  • Uploaded via: twine/3.7.1 importlib_metadata/4.10.0 pkginfo/1.8.2 requests/2.27.1 requests-toolbelt/0.9.1 tqdm/4.62.3 CPython/3.9.9

File hashes

Hashes for TaichiGAME-0.0.3-py3-none-any.whl
Algorithm Hash digest
SHA256 cfdb8d305fb8b640060278ffa70378af75fead4a8956e3e7f6e9b3ed3cb9e9c8
MD5 2f64935da1fe5a595181f185e6b9f6cb
BLAKE2b-256 7f74c8a8d125a7588fda66f22a1dde1916fb2fccb2bba92a95393daf23376b5c

See more details on using hashes here.

Supported by

AWS Cloud computing and Security Sponsor Datadog Monitoring Depot Continuous Integration Fastly CDN Google Download Analytics Pingdom Monitoring Sentry Error logging StatusPage Status page