Skip to main content

Ordered subsets over a predefined domain

Project description

Latest PyPI Version License Wheel Status Downloads

Bitsets are ordered sets which are subsets of a predefined finite domain of hashable items.

They are implemented as pure Python integers representing the rank of the set in colexicographical order (a.k.a bit strings, powers of two, binary strings). Hence, they can be very space-efficient, e.g. if a large number of subsets from a collection needs to be present in memory. Furthermore, they can be compared, intersected, etc. using normal bitwise operations of integers (&, |, ^, ~).

Installation

This package runs under Python 2.7 and 3.3+, use pip to install:

$ pip install bitsets

There are no other dependencies. Optionally, you can install Graphviz and this Python wrapper for drawing Hasse diagrams (see below).

Creation

Use the bitset function to create a class representing ordered subsets from a fixed set of items (the domain):

>>> from bitsets import bitset

>>> Pythons = bitset('Pythons', ('Chapman', 'Cleese', 'Gilliam', 'Idle', 'Jones', 'Palin'))

The domain collection needs to be a hashable sequence (e.g. a tuple) of at least one item.

The resulting class is an integer (int or long depending on Python version) subclass, so its instances (being integers) are immutable and hashable and thus in many ways similar to pythons built-in frozenset.

>>> from bitsets._compat import integer_types

>>> issubclass(Pythons, integer_types)
True

The domain items are mapped to powers of two (their rank in colexicographical order):

>>> Pythons.fromint(0)
Pythons()

>>> [Pythons.fromint(1), Pythons.fromint(2), Pythons.fromint(4)]
[Pythons(['Chapman']), Pythons(['Cleese']), Pythons(['Gilliam'])]

>>> Pythons.fromint(2 ** 6 - 1)
Pythons(['Chapman', 'Cleese', 'Gilliam', 'Idle', 'Jones', 'Palin'])

>>> Pythons.fromint((1 << 0) + (1 << 5))
Pythons(['Chapman', 'Palin'])

The class provides access to the minimal (infimum) and maximal (supremum) sets from its domain:

>>> Pythons.infimum
Pythons()

>>> Pythons.supremum
Pythons(['Chapman', 'Cleese', 'Gilliam', 'Idle', 'Jones', 'Palin'])

Basic usage

Bitsets can be created from members, bit strings, boolean sequences, and integers:

>>> Pythons(['Palin', 'Cleese'])
Pythons(['Cleese', 'Palin'])

>>> Pythons.frombits('101000')
Pythons(['Chapman', 'Gilliam'])

>>> Pythons.frombools([True, False, True, False, False, False])
Pythons(['Chapman', 'Gilliam'])

>>> Pythons.fromint(5)
Pythons(['Chapman', 'Gilliam'])

Members always occur in the definition order.

Bitsets cannot contain items other than those from their domain:

>>> Pythons(['Brian'])
Traceback (most recent call last):
....
KeyError: 'Brian'

Bitsets can be converted to members, bit strings, boolean sequences and integers:

>>> Pythons(['Chapman', 'Gilliam']).members()
('Chapman', 'Gilliam')

>>> Pythons(['Chapman', 'Gilliam']).bits()
'101000'

>>> Pythons(['Chapman', 'Gilliam']).bools()
(True, False, True, False, False, False)

>>> int(Pythons(['Chapman', 'Gilliam']))
5

Sorting

To facilitate sorting collections of bitsets, they have key methods for different sort orders (shortlex, longlex, shortcolex, and longcolex):

>>> Pythons(['Idle']).shortlex() < Pythons(['Palin']).shortlex()
True

Sorting a collection of bitsets without using a key function will order them in colexicographical order.

Powersets

Iterate over a bitsets’ powerset in short lexicographic order:

>>> for p in Pythons(['Palin', 'Idle']).powerset():
...     print(p.members())
()
('Idle',)
('Palin',)
('Idle', 'Palin')

frozenset compatibility

For convenience, bitsets provide the same methods as frozenset (i.e. issubset, issuperset, isdisjoint, intersection, union, difference, symmetric_difference, __len__, __iter__, __bool__, __contains__, and as a non-op copy).

>>> 'Cleese' in Pythons(['Idle'])
False

>>> 'Idle' in Pythons(['Idle'])
True

>>> Pythons(['Chapman', 'Idle']).intersection(Pythons(['Idle', 'Palin']))
Pythons(['Idle'])

Note, however that all the operators methods (+, -, &, | etc.) retain their integer semantics:

>>> print(Pythons(['Chapman', 'Idle']) - Pythons(['Idle']))
1

In tight loops it might be worth to use bitwise expressions (&, |, ^, ~) for set comparisons/operations instead of the frozenset-compatible methods:

>>> # is subset ?
>>> Pythons(['Idle']) & Pythons(['Chapman', 'Idle']) == Pythons(['Idle'])
True

Added functionality

Differing from frozenset, you can also retrieve the complement set of a bitset:

>>> Pythons(['Idle']).complement()
Pythons(['Chapman', 'Cleese', 'Gilliam', 'Jones', 'Palin'])

>>> Pythons().complement().complement()
Pythons()

Test if a bitset is maximal (supremum):

>>> Pythons(['Idle']).all()
False

>>> Pythons(['Chapman', 'Cleese', 'Gilliam', 'Idle', 'Jones', 'Palin']).all()
True

Test if a bitset is non-minimal (infimum), same as bool(bitset):

>>> Pythons(['Idle']).any()
True

>>> Pythons().any()
False

Visualization

With the help of the optional Graphviz graph layout library and this Python interface, the bitsets.visualize module can create Hasse diagrams of all bitsets from your domain:

Download and install Graphviz. Then install the Python interface:

$ pip install "graphviz>=0.3, <0.4"

Make sure that the bin directory of Graphviz is on your system path.

>>> from bitsets import visualize
>>> Four = bitset('Four', (1, 2, 3, 4))

>>> dot = visualize.bitset(Four)

>>> print(dot.source)  # doctest: +ELLIPSIS, +NORMALIZE_WHITESPACE
// <class bitsets.meta.bitset('Four', (1, 2, 3, 4), 0x..., BitSet, None, None)>
digraph Four {
    edge [dir=none]
            b0 [label=0000]
            b1 [label=1000]
                    b1 -> b0
            b2 [label=0100]
                    b2 -> b0
            b3 [label=1100]
                    b3 -> b1
                    b3 -> b2
...
https://raw.github.com/xflr6/bitsets/master/docs/hasse-bits.png

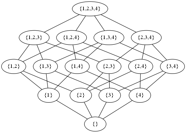
Show members instead of bits:

>>> dot = visualize.bitset(Four, member_label=True)

>>> print(dot.source)  # doctest: +ELLIPSIS, +NORMALIZE_WHITESPACE
// <class bitsets.meta.bitset('Four', (1, 2, 3, 4), 0x..., BitSet, None, None)>
digraph Four {
    edge [dir=none]
            b0 [label="{}"]
            b1 [label="{1}"]
                    b1 -> b0
            b2 [label="{2}"]
                    b2 -> b0
            b3 [label="{1,2}"]
                    b3 -> b1
                    b3 -> b2
...
https://raw.github.com/xflr6/bitsets/master/docs/hasse-members.png

Remember that the graphs have 2 ** domain_size nodes.

Containers

When activated, each bitset class comes with tailored collection classes (bitset list and bitset tuple) for its instances.

>>> Letters = bitset('Letters', 'abcdef', list=True)

>>> Letters.List.frommembers(['a', 'bcd', 'ef'])
LettersList('100000', '011100', '000011')

The collection classes have convenience methods for set intersection and union:

>>> import string

>>> Ascii = bitset('Ascii', string.ascii_lowercase, list=True)
>>> ascii = Ascii.List.frommembers(['spam', 'eggspam', 'ham'])

>>> ascii.reduce_and()
Ascii(['a', 'm'])

>>> ascii.reduce_or()
Ascii(['a', 'e', 'g', 'h', 'm', 'p', 's'])

Customization

To use a customized bitset class, extend one of the classes from the bitsets.bases module and pass it to the bitset function.

>>> import bitsets

>>> class ProperSet(bitsets.bases.BitSet):
...     def issubset_proper(self, other):
...         return self & other == self != other

>>> Ints = bitset('Ints', (1, 2, 3, 4, 5, 6), base=ProperSet)

>>> issubclass(Ints, ProperSet)
True

>>> Ints([1]).issubset_proper(Ints([1, 2]))
True

>>> Ints([1, 2]).issubset_proper(Ints([1, 2]))
False

To use a customized bitset collection class, extend one of the classes from the bitsets.series module and pass it to the bitset function.

>>> from functools import reduce
>>> import operator

>>> class ReduceList(bitsets.series.List):
...     def intersection(self):
...         return self.BitSet.fromint(reduce(operator.and_, self))
...     def union(self):
...         return self.BitSet.fromint(reduce(operator.or_, self))

>>> Nums = bitset('Nums', (1, 2, 3), list=ReduceList)

>>> issubclass(Nums.List, ReduceList)
True

>>> numslist = Nums.List.frommembers([(1, 2, 3), (1, 2), (2, 3)])

>>> numslist.intersection()
Nums([2])

>>> numslist.union()
Nums([1, 2, 3])

Note that since version 0.4, this very functionality was added to the bitsets.series classes as reduce_and and reduce_or methods (see above).

Persistence

Bitset classes, collection classes and their instances are pickleable:

>>> import pickle

>>> pickle.loads(pickle.dumps(Pythons)) is Pythons
True

>>> pickle.loads(pickle.dumps(Pythons()))
Pythons()

>>> pickle.loads(pickle.dumps(Pythons(), protocol=pickle.HIGHEST_PROTOCOL))
Pythons()

>>> pickle.loads(pickle.dumps(Letters.List)) is Letters.List
True

>>> pickle.loads(pickle.dumps(Letters.List()))
LettersList()

As long as customized bitset collection classes are defined at the top-level of an importable module, the class and its instances are pickleable.

>>> pickle.loads(pickle.dumps(Nums.List)) is Nums.List  # doctest: +SKIP
True

>>> pickle.loads(pickle.dumps(Nums.List()))  # doctest: +SKIP
NumsList()

Further reading

See also

  • bitarray – efficient boolean array implemented as C extension

  • bitstring – pure-Python bit string based on bytearray

  • BitVector – pure-Python bit array based on unsigned short array

  • Bitsets – Cython interface to fast bitsets in Sage

  • bitfield – Cython positive integer sets

License

Bitsets is distributed under the MIT license.

Project details


Download files

Download the file for your platform. If you're not sure which to choose, learn more about installing packages.

Source Distribution

bitsets-0.7.4.zip (113.9 kB view details)

Uploaded Source

Built Distribution

If you're not sure about the file name format, learn more about wheel file names.

bitsets-0.7.4-py2.py3-none-any.whl (19.6 kB view details)

Uploaded Python 2Python 3

File details

Details for the file bitsets-0.7.4.zip.

File metadata

  • Download URL: bitsets-0.7.4.zip
  • Upload date:
  • Size: 113.9 kB
  • Tags: Source
  • Uploaded using Trusted Publishing? No

File hashes

Hashes for bitsets-0.7.4.zip
Algorithm Hash digest
SHA256 d6b9433b45e2012406a3ba03489b3ce24e8c5fddc88dbe667abdf34fa87f8cb2
MD5 4b8f964646081b227044262b1a6226f1
BLAKE2b-256 1f95ebdadc86750f4cd54275c5f25d518c873ed51daca5fcd62b8a66d42366d6

See more details on using hashes here.

File details

Details for the file bitsets-0.7.4-py2.py3-none-any.whl.

File metadata

File hashes

Hashes for bitsets-0.7.4-py2.py3-none-any.whl
Algorithm Hash digest
SHA256 a72be2725404dfb1cdd6b22cc874ee1b9951799a501c8ec5506abe55ff53cfa8
MD5 1802631366d985fb7d78f550003ed5f9
BLAKE2b-256 7052fc2f39cb150679883f47934b32487eb9ae5a44c2180e2a3f82dfb628548d

See more details on using hashes here.

Supported by

AWS Cloud computing and Security Sponsor Datadog Monitoring Depot Continuous Integration Fastly CDN Google Download Analytics Pingdom Monitoring Sentry Error logging StatusPage Status page