Skip to main content

A simplistic and efficient pure-python neural network library from Phys Whiz.

Project description

Contributors Forks Stargazers Issues MIT License LinkedIn Documentation


crysx_nn

A simplistic and efficient pure-python neural network library from Phys Whiz with CPU and GPU support.
Explore the docs »

View Demo · Report Bug · Request Feature

Table of Contents
  1. About The Project
  2. Getting Started
  3. Usage
  4. Features
  5. Roadmap
  6. Contributing
  7. License
  8. Contact
  9. Acknowledgments
  10. Citation

About The Project

Product Name Screen Shot

Neural networks are an integral part of machine learning. The project provides an easy-to-use, yet efficient implementation that can be used in your projects or for teaching/learning purposes.

The library is written in pure-python with some optimizations using numpy, opt_einsum, and numba when using CPU and cupy for CUDA support.

The goal was to create a framework that is efficient yet easy to understand, so that everyone can see and learn about what goes inside a neural network. After all, the project did spawn from a semester project on CP_IV: Machine Learning course at the University of Jena, Germany.

(back to top)

Built With

(back to top)

Getting Started

To get a local copy up and running follow these simple example steps.

Prerequisites

You need to have python3 installed along with pip.

Installation

There are many ways to install crysx_nn

  1. Install the release (stable) version from PyPi
    pip install crysx_nn
    
  2. Install the latest development version, by cloning the git repo and installing it. This requires you to have git installed.
    git clone https://github.com/manassharma07/crysx_nn.git
    cd crysx_nn
    pip install .
    
  3. Install the latest development version without git.
    pip install --upgrade https://github.com/manassharma07/crysx_nn/tarball/main
    

Check if the installation was successful by running python shell and trying to import the package

python3
Python 3.7.11 (default, Jul 27 2021, 07:03:16) 
[Clang 10.0.0 ] :: Anaconda, Inc. on darwin
Type "help", "copyright", "credits" or "license" for more information.
>>> import crysx_nn
>>> crysx_nn.__version__
'0.1.0'
>>> 

Finally download the example script (here) for simulating logic gates like AND, XOR, NAND, and OR, and try running it

python Simluating_logic_gates.py

(back to top)

Usage

The most important thing for using this library properly is to use 2D NumPy/Cupy arrays for defining the inputs and expected outputs (targets) for a network. 1D arrays for inputs and targets are not supported and will result in an error.

For example, let us try to simulate the logic gate AND. The AND gate takes two input bits and returns a single input bit. The bits can take a value of either 0 or 1. The AND gate returns 1 only if both the inputs are 1, otherwise it returns 0.

The truth table of the AND gate is as follows

x1 x2 output
0 0 0
0 1 0
1 0 0
1 1 1

The four possible set of inputs are

import numpy as np
inputs = np.array([[0.,0.,1.,1.],[0.,1.,0.,1.]]).T.astype('float32')
print(inputs)
print(inputs.dtype) 

Output:

[[0. 0.]
 [0. 1.]
 [1. 0.]
 [1. 1.]]
float32

Similarly, set the corresponding four possible outputs as a 2D numpy array

# AND outputs
outputAND = np.array([0.,0.,0.,1.]) # 1D array
outputAND = np.asarray([outputAND]).T # 2D array
print('AND outputs\n', outputAND)

Output:

AND outputs
 [[0.]
 [0.]
 [0.]
 [1.]]

Next, we need to set some parameters of our Neural network

nInputs = 2 # No. of nodes in the input layer
neurons_per_layer = [3,1] # Neurons per layer (excluding the input layer)
activation_func_names = ['Sigmoid', 'Sigmoid']
nLayers = len(neurons_per_layer)
eta = 0.5 # Learning rate
nEpochs=10**4 # For stochastic gradient descent
batchSize = 4 # No. of input samples to process at a time for optimization

Let us now create the neural network model using the above parameters

from crysx_nn import network
model = network.nn_model(nInputs=nInputs, neurons_per_layer=neurons_per_layer, activation_func_names=activation_func_names, batch_size=batchSize, device='CPU', init_method='Xavier') 

Note: device='CPU' indicates that the we are going to be running the computations on the CPU. If you have cupy installed and a compatible GPU, then you could also use device='GPU'. However, in that case the inputs and ouputs should also be cupy arrays instead of numpy arrays. To check if the model was initialized correctly, you can check the model details as

model.details()

Output:

----------------------------------------------------------------------------------
****Neural Network Model Details****
----------------------------------------------------------------------------------
Number of input nodes:  2
Number of layers (hidden+output):  2
Number of nodes in each layer (hidden & output):  [3, 1]
Activation function for each layer (hidden & output):   ['Sigmoid', 'Sigmoid']
Method used for weights and biases initialization:   Xavier
Batch Size:  4
Device:  CPU
Optimization method:  SGD
Learning rate:  0.5
----------------------------------------------------------------------------------

For a better understanding of our network, let us visualize it.

model.visualize()

Output:

Weights and biases are already initialized when you create the model using the 'Xavier' method. Weights and biases are lists of 2D and 1D NumPy arrays, respectively (1 Numpy array for each layer). In our case, we have 2 layers (1 hidden+ 1 output), therefore, the list of Weights and Biases will have 2 NumPy arrays each. You can also initialize them again using some other method as follows:

model.init_params(method='NormXavier')
print('Initial Weights:\n',model.init_weights)
print('Initial Biases:\n',model.init_biases)

Output:

Initial Weights:
 [array([[-0.66735507,  1.89981375],
       [ 1.58135381,  0.30297808],
       [-1.02875636,  0.39637066]]), array([[ 1.14150595,  0.86579216, -1.50878406]])]
Initial Biases:
 [array([0., 0., 0.]), array([0.])]

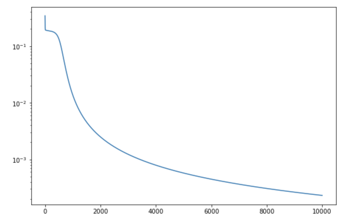
Finally it is time to train our neural network. We will use mean squared error (MSE) loss function as the metric of performance. Currently, only stochastic gradient descent is supported.

# Run optimization
model.optimize(inputs, outputAND, lr=0.5,nEpochs=nEpochs,loss_func_name='MSE', miniterEpoch=1, batchProgressBar=False, miniterBatch=100)

The optimization saves the optimized weights model.weights and biases model.biases as well as the error model.errors at each epoch in the attributes of the nn_model object.

We can then plot the training loss at each epoch

import matplotlib.pyplot as plt
# Plot the error vs epochs
plt.plot(model.errors)
plt.yscale('log')
plt.show()

Output:

Finally, you can make predictions using the optimized network using the following code

predictions, error = model.predict(inputs, outputAND, loss_func_name='MSE')
print('Input:\n',inputs)
print('Prediction:\n',predictions)
print('Expected Output:\n',outputAND)
print('New Average Error with optimized weights:\n', error)

OUTPUT:

Input:
 [[0. 0.]
 [0. 1.]
 [1. 0.]
 [1. 1.]]
Prediction:
 [[6.51744058e-05]
 [8.16272136e-03]
 [5.94678339e-03]
 [9.90297134e-01]]
Expected Output:
 [[0.]
 [0.]
 [0.]
 [1.]]
New Average Error with optimized weights:
 4.903602650103742e-05

For more examples, please refer to the Examples Section

CrysX-NN (crysx_nn) also provides CUDA support by using cupy versions of all the features ike activation functions, loss functions, neural network calculations, etc. Note: For small networks the Cupy versions may actually be slower than CPU versions. But the benefit becomes evident as you go beyond 1.5 Million parameters.

(back to top)

Features

  • Efficient implementations of activation functions and their gradients
    • Sigmoid, Sigmoid_grad
    • ReLU, ReLU_grad
    • Softmax, Softmax_grad
    • Softplus, Sofplus_grad
    • Tanh, Tanh_grad
    • Tanh_offset, Tanh_offset_grad
    • Identity, Identity_grad
  • Efficient implementations of loss functions and their gradients
    • Mean squared error
    • Mean absolute error
    • Binary cross entropy
    • Categorical cross entropy
  • Several methods for weights initialization
    • 'random1', 'random2', 'random3'
    • 'Xavier'
    • 'NormXavier'
    • 'He'
  • Neural network optimization using
    • Stochastic Gradient Descent
  • Support for batched inputs, i.e., supplying a matrix of inputs where the columns correspond to features and rows to the samples
  • Support for GPU through Cupy pip install cupy-cuda102 (Tested with CUDA 10.2)
  • JIT compiled functions when possible for efficiency
  • Object oriented

(back to top)

Roadmap

  • More activation functions
    • LeakyReLU, Swish, Mish, etc.
  • More loss functions
    • Hinge loss, and others
  • Optimization algorithms apart from Stochastic Gradient Descent, like ADAM, RMSprop, etc.
  • Implement regularizers
  • Batch normalization and layer normalization
  • Dropout
  • Early stopping
  • Some metric functions, although there is no harm in using sklearn for that

See the open issues for a full list of proposed features (and known issues).

(back to top)

Contributing

Contributions are what make the open source community such an amazing place to learn, inspire, and create. Any contributions you make are greatly appreciated.

If you have a suggestion that would make this better, please fork the repo and create a pull request. You can also simply open an issue with the tag "enhancement". Don't forget to give the project a star! Thanks again!

  1. Fork the Project
  2. Create your Feature Branch (git checkout -b feature/AmazingFeature)
  3. Commit your Changes (git commit -m 'Add some AmazingFeature')
  4. Push to the Branch (git push origin feature/AmazingFeature)
  5. Open a Pull Request

(back to top)

License

Distributed under the MIT License. See LICENSE.txt for more information.

(back to top)

Contact

Manas Sharma - @manassharma07 - feedback@bragitoff.com

Project Link: https://github.com/manassharma07/crysx_nn

Project Documentation: https://bragitoff.com

Blog: https://bragitoff.com

(back to top)

Acknowledgments

(back to top)

Citation

If you use this library and would like to cite it, you can use:

 M. Sharma, "CrysX-NN: Neural Network libray", 2021. [Online]. Available: https://github.com/manassharma07/crysx_nn. [Accessed: DD- Month- 20YY].

or:

@Misc{,
  author = {Manas Sharma},
  title  = {CrysX-NN: Neural Network libray},
  month  = december,
  year   = {2021},
  note   = {Online; accessed <today>},
  url    = {https://github.com/manassharma07/crysx_nn},
}

(back to top)

Project details


Download files

Download the file for your platform. If you're not sure which to choose, learn more about installing packages.

Source Distribution

crysx_nn-0.1.7.tar.gz (17.5 MB view details)

Uploaded Source

File details

Details for the file crysx_nn-0.1.7.tar.gz.

File metadata

  • Download URL: crysx_nn-0.1.7.tar.gz
  • Upload date:
  • Size: 17.5 MB
  • Tags: Source
  • Uploaded using Trusted Publishing? No
  • Uploaded via: twine/3.7.1 importlib_metadata/4.8.2 pkginfo/1.8.2 requests/2.26.0 requests-toolbelt/0.9.1 tqdm/4.62.3 CPython/3.7.11

File hashes

Hashes for crysx_nn-0.1.7.tar.gz
Algorithm Hash digest
SHA256 63e0252e8b838a7f79b365b309e40c2e99d41a1b02f26609a267dcdd0f61b036
MD5 76cffbf7a108509ec28d42a31158afb2
BLAKE2b-256 667b924426bc9f80b2d1135eace3d968d25e44a135f5c5122f9a6aaf51852137

See more details on using hashes here.

Supported by

AWS Cloud computing and Security Sponsor Datadog Monitoring Depot Continuous Integration Fastly CDN Google Download Analytics Pingdom Monitoring Sentry Error logging StatusPage Status page