Skip to main content

Sateliite Imagery Download Package

Project description

ftp-himawari8-hsd

Python package to ftp download of himawari8 real-time full disk satellite image files from JAXA server for the specified date range(Himawari standard data will be provided only for the latest 30 days).

Pre-requisites:


User Registration
    Make an User Account request for the data use of JAXA p-Tree system:
  1. Apply for a user account by clicking the user registration button on top of the website https://www.eorc.jaxa.jp/ptree/index_j.html.
  2. Enter the user information according the procedure described. Application acceptance email will be sent from the P-Tree secretariat.
  3. Download the python package from pip.
  4. pip install ftp-himawari8-hsd
Software needed
  1. Install Anaconda framework(Opensource) from website https://www.anaconda.com/products/individual to your local machine.
  2. Install Python(version >= 3.7) from website https://www.python.org/downloads/
  3. After successfully installing Python, Create virtual or conda environment and install the package from pypi
Python Dependencies:
ftp_himawari8_hsd depends on the python packages as listed in requirements.txt file of this repository. They will automatically be installed with the pip install.

Usage

Downloading Satellite Imagery from JAXA server


Execute ftp_himawari8_hsd
Example:
> ftp_himawari8_hsd
import ftp_himawari8_hsd as ftp
hsd=ftp.downloader()
hsd.start_date="2021/07/25 00:00" By default it will retrive the last 10 minutes files
hsd.end_date="2021/07/25 00:00"
hsd.username="foo" Enter your username here
hsd.password="bar" Enter your password here
hsd.download_path="C:/ftp" Enter your download path here
hsd.MAX_WORKERS=8 Enter the number of workers to download here
hsd.run()

By default it will download files from the last 10 minutes. 
Necessary inputs are username and password for the function to work
You can use ftp.downloader().help() to get this information printed.

This will download the full-disk Himawari8 Standard Data as zipped files (.bz2) and then automatically unzipped (.DAT).The general HSD file name format is: HS_aaa_yyyymmdd_hhnn_Bbb_FLDK_Rjj_Skkll.DAT. Letters indicate different information. "HS" means Himawari Standard Data. "aaa" means satellite name and can be H08 (Himawari-8) or H09(Himawati-9). "hhnn" indicates hour and minute (every 10 minute). "bb" indicates band number from 01 to 16. "FLDK" means full-disk. "jj" indicates the spatial resolution in which 05 means 0.5 km, 10 means 1 km and 20 means 2 km."kkll" indicates information on the segment division of HSD. "kk" means segment number from 01 to ll. "ll" means total number of segments ranges between 01 and 99.

Examples of download period Date and Time should be in UTC

  1. download for given range of timestamps. Output file timestamps are every 10-minute timestamps from "2021/07/25 00:00" to "2021/07/25 23:50".
  2. Enter start datetime yyyy/mm/dd hh:mm: 2021/07/25 00:00
    Enter end datetime yyyy/mm/dd hh:mm : 2021/07/25 23:50    
    
  3. download for given time range of current date. Output file timestamps are current day's "01:00", "01:10" and "01:20".
  4. Enter start datetime yyyy/mm/dd hh:mm: 01:00 
    Enter end datetime yyyy/mm/dd hh:mm : 01:20     
    
  5. download for given range of dates. Output file timestamps are every 10-minute timestamps from "2021/07/25 00:00" to "2021/07/25 23:50".
  6. Enter start datetime yyyy/mm/dd hh:mm: 2021/7/25 
    Enter end datetime yyyy/mm/dd hh:mm : 2021/7/25       
    

How to use downloaded Satellite Imagery


Refer to 'Processing_Satellite_Imagery.ipynb' file of this repository for how to open the downloaded files and make use of it. Detailed usage include but not limited to open, process, crop, save Satellite Imagery and generate Composites.
Download atleast 10 minutes (e.g. 2:00 to 2:10) data of a date to work on this processing.

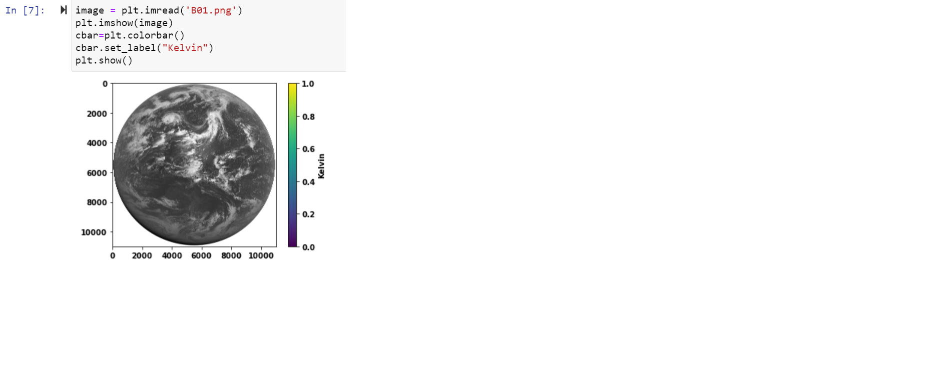
Example 1: AHI Himawari8 Full Disk image for Band 1

Example 2: Generate composite "airmass". To generate Satpy Composites needs all bands B01-B16 for at least 10 minutes timeframe of a date.


Project details


Download files

Download the file for your platform. If you're not sure which to choose, learn more about installing packages.

Source Distribution

ftp_himawari8_hsd-1.1.5.tar.gz (7.6 kB view details)

Uploaded Source

Built Distribution

If you're not sure about the file name format, learn more about wheel file names.

ftp_himawari8_hsd-1.1.5-py3-none-any.whl (8.4 kB view details)

Uploaded Python 3

File details

Details for the file ftp_himawari8_hsd-1.1.5.tar.gz.

File metadata

  • Download URL: ftp_himawari8_hsd-1.1.5.tar.gz
  • Upload date:
  • Size: 7.6 kB
  • Tags: Source
  • Uploaded using Trusted Publishing? No
  • Uploaded via: twine/3.4.2 importlib_metadata/3.10.1 pkginfo/1.7.1 requests/2.25.1 requests-toolbelt/0.9.1 tqdm/4.62.0 CPython/3.7.9

File hashes

Hashes for ftp_himawari8_hsd-1.1.5.tar.gz
Algorithm Hash digest
SHA256 3e4bc284f2d1ac7fa3ee4c3ccc86da5930335c5cc79a3c78d24edad5a2d4d188
MD5 fb405e1caa499698b2c6a8563d302b71
BLAKE2b-256 95caa6a0eba3f099b6c2c0787af8e39166221c951584cc57709a6ecbd131ef7c

See more details on using hashes here.

File details

Details for the file ftp_himawari8_hsd-1.1.5-py3-none-any.whl.

File metadata

  • Download URL: ftp_himawari8_hsd-1.1.5-py3-none-any.whl
  • Upload date:
  • Size: 8.4 kB
  • Tags: Python 3
  • Uploaded using Trusted Publishing? No
  • Uploaded via: twine/3.4.2 importlib_metadata/3.10.1 pkginfo/1.7.1 requests/2.25.1 requests-toolbelt/0.9.1 tqdm/4.62.0 CPython/3.7.9

File hashes

Hashes for ftp_himawari8_hsd-1.1.5-py3-none-any.whl
Algorithm Hash digest
SHA256 73964ed557692b275499e8eabfd181e8620c3d9c6cf052379e75f08ced1f1e1e
MD5 633c96f1e1764cdc765defa37fdc785a
BLAKE2b-256 439df276bc90989d9b581ea6e5b9b8c0c47f98c2b717878dfbe5921a1aab523f

See more details on using hashes here.

Supported by

AWS Cloud computing and Security Sponsor Datadog Monitoring Depot Continuous Integration Fastly CDN Google Download Analytics Pingdom Monitoring Sentry Error logging StatusPage Status page