Skip to main content

No project description provided

Project description

This library was created for the course IB110 - Introduction to Informatics at MUNI FI.

INSTALLATION

Python version >=3.6 is required in order to use the library. Using virtual environment for installation is of course optional, but recommended.

# Bash
$ python3 -m venv <name> 
$ source <name>/bin/activate
$ pip install ib110hw
# Windows Powershell
PS> py -m venv <name> 
PS> <name>\Scripts\Activate.ps1
PS> pip install ib110hw

Below is an overview of how these computational models can be used. Further documentation is located in the files with the implementation.

FINITE AUTOMATA

This library supports deterministic and nondeterministic finite automata. You can find the implementation of these models in the module automaton. Consider the class located in the base.py as abstract, its only purpose is to avoid duplicity in the implementation of these models.

In order to create an automaton you will need to specify the five-tuple (Q, Σ, δ, q0, F), where:

  • The set of states Q is represented by Set[str]
  • The set of alphabet symbols Σ is represented by Set[str]
  • The transition function δ is represented by either DFATransitions or NFATransitions. These types are described below.
  • The set of final states F is represented by Set[str]

DFA and NFA objects can be created in two ways:

  1. If you know exactly how the automaton should look like you can create it directly - section Example use-case of DFA and Example use-case of NFA.
  2. If you are implementing an algorithm, for example, you can use helper functions - described in section DFA helper functions and NFA helper functions.

Deterministic finite automata (DFA)

The implementation for DFA can be found in the file automaton/dfa.py.

Example use-case of DFA

The DFATransitions is an alias to Dict[str, Dict[str, str]]. Keys of this dictionary are symbols where the transition begins. Values are nested dictionaries with alphabet symbols as keys and states where the transition ends as values.

Example of a DFA transition function


DFA transition function example

Transition shown above can be written like so:

transition_fn: DFATransitions = {
    "s1": { # from s1
        "0": "s2", # via 0 to s2
        "1": "s2", # via 1 to s2
    },
}

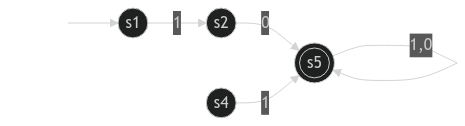
More complex DFA example


More complex DFA example

from ib110hw.automaton.dfa import DFA, DFATransitions

dfa_transitions: DFATransitions = {
    "s1": {
        "1": "s2",
        "0": "s4"
    },
    "s2": {
        "1": "s3",
        "0": "s5"
    },
    "s3": {
        "1": "s5",
        "0": "s5"
    },
    "s4": {
        "1": "s5",
        "0": "s3"
    },
    "s5": {
        "1": "s5",
        "0": "s5"
    },
}

automaton = DFA(
    states={"s1", "s2", "s3", "s4", "s5" },
    alphabet={"1", "0"},
    initial_state="s1",
    final_states={"s3"},
    transitions=dfa_transitions,
)

Helper functions for DFA

Below are described some use-cases of the implemented helper functions. If you want to learn more about them, check the automaton/dfa.py file containing the implementation with further documentation.

Helper functions for getting information about a DFA

The following examples will use the DFA object created above.

# returns next state from the provided state by symbol
automaton.get_transition("s1", "1") # returns "s2"
automaton.get_transition("s1", "0") # returns "s4"
# returns set of symbols between two (directly) adjacent states
automaton.get_symbols_between_states("s1", "s2") # returns {"1"}
automaton.get_symbols_between_states("s3", "s5") # returns {"1", "0"}
automaton.get_symbols_between_states("s1", "s3") # returns set()
# returns True if the given string is accepted by the automaton, False otherwise
# IMPORTANT: the automaton needs to be valid (see below) to be able to test 
automaton.is_accepted("11") # False
automaton.is_accepted("00") # False
automaton.is_accepted("10") # True
# Checks whether the DFA is valid:
#     1. The states set is not empty.
#     2. The initial state is in states.
#     3. Final states are subset of states.
#     4. The alphabet does not contain ε ('').
#     5. The transition function contains characters only from its alphabet.
#     6. The transition function contains states only from its states set.
#     7. The transition function is total.
automaton.is_valid() # returns True
Helper functions for altering a DFA

The DFA class contains some helper functions to alter the automata if you wish to implement an algorithm for example. Some use-cases are described below, with pictures of automata to show how it progressively changes.

# all params are optional, but to be able to check whether it accepts a given input,
# it needs to have them all defined
showcase_dfa: DFA = DFA(alphabet={"a", "b", "c"}) 

# adds a singular state to automaton
# second param specifies if the state is final - defaults to False
showcase_dfa.add_state("s1", False) # returns True - automaton was altered
showcase_dfa.add_state("s1") # returns False - nothing changed, since state s1 already exists

DFA object with a single state

showcase_dfa.add_state("s2") 
showcase_dfa.add_state("s4") 

DFA object with three disjointed states

# adds a transition from s1 to s2 by '1'
showcase_dfa.add_transition("s1", "s2", "1") # returns True - it changed the automaton

# this will not change the automaton, since transition from s1 by '1' already exists
showcase_dfa.add_transition("s1", "s4", "1") # returns False - nothing changed

DFA object with three states, but one is disconnected (1)

# this method either adds a transition like above, or overwrites the existing one
# the transition from s1 by '1' gets redirected to the state s4
dfa_showcase.set_transition("s1", "s4", "1") # returns None

DFA object with three states, but one is disconnected (2)

showcase_dfa.set_transition("s1", "s2", "1") 
showcase_dfa.set_transition("s1", "s4", "0") 

DFA object with three states

showcase_dfa.add_state("s3")
showcase_dfa.add_transition("s2", "s3", "1")
showcase_dfa.add_transition("s4", "s3", "0")

# add the final state
showcase_dfa.add_state("s5", True)

showcase_dfa.add_transition("s2", "s5", "0")
showcase_dfa.add_transition("s3", "s5", "0")
showcase_dfa.add_transition("s3", "s5", "1")
showcase_dfa.add_transition("s4", "s3", "1")
showcase_dfa.add_transition("s5", "s5", "0")
showcase_dfa.add_transition("s5", "s5", "1")

DFA with missing initial state

The dfa pictured above is still not a valid DFA, since it lacks an initial state. This can be fixed by simply editing the initial_state property. The automaton is now equivalent to the More complex example shown above.

dfa_showcase.is_valid() # returns False

dfa_showcase.initial_state = "s1"

dfa_showcase.is_valid() # returns True

Valid DFA object

# strings can now be tested
automaton.is_accepted("11") # True
automaton.is_accepted("00") # True
automaton.is_accepted("10") # False

Transitions and states can also be removed:

# removes the transition from s1 by '0'
dfa_showcase.remove_transition("s1", "0")

DFA object with removed transition

# removes the state s3 and every transition associated with it
dfa_showcase.remove_state("s")

DFA object after removing a state

Visualization

DFA objects can be visualized in two ways: print and automaton_to_graphviz. The following example uses the automaton object from the More complex example section.

from ib110.automaton.utils import automaton_to_graphviz

print(automaton) 
# alphabet: 0,1
# states: s1,s5,s3,s2,s4
# final states: s3
# 
#      DFA      |    0    |    1    
# ----------------------------------
# -->  s1       |   s4    |   s2    
#      s2       |   s5    |   s3    
# <--  s3       |   s5    |   s5    
#      s4       |   s3    |   s5    
#      s5       |   s5    |   s5   

The following produces a .dot (graphviz) file which can then be viewed by either downloading an extension/plugin (vscode link, jetbrains link) or by going here and pasting the result.

automaton_to_graphviz(automaton, path="./automaton.dot")

Nondeterministic finite automata (NFA)

The implementation for the NFA can be found in the file nfa.py with a description of each function.

Example use-case of NFA

Transition function of an NFA is described by the NFATransitions. It is an alias to Dict[str, Dict[str, Set[str]]]. It is similar to the DFATransitions but instead of the next-state string, there is a set of next-state strings.

Example of a NFA transition function


Transition shown above can be implemented like so:

transition_fn: NFATransitions = {
    "s1": {
        "0": {"s2", "s3"},
        "1": set(), # specifying this is unnecessary
    },
}

More complex NFA example


from ib110hw.automaton.nfa import NFA, NFATransitions

nfa_transitions: NFATransitions = {
    "s1": {
        "1": { "s2" },
        "0": { "s4" },
    },
    "s2": {
        "1": { "s3" },
    },
    "s4": {
        "0": { "s3" },
    },
}

automaton = NFA(
    states={"s1", "s2", "s3", "s4", "s5" },
    alphabet={"1", "0"},
    initial_state="s1",
    final_states={"s3"},
    transitions=nfa_transitions,
)

automaton.is_accepted("11") # True
automaton.is_accepted("00") # True
automaton.is_accepted("10") # False

NFA helper functions

Below are described some use-cases of the implemented helper functions. If you want to learn more about them, check the automaton/nfa.py file containing the implementation with further documentation.

Helper functions for getting information about an NFA

All of the NFA class methods for getting information about the automaton. The difference is only in the is_valid method which has different requirements:

#Checks whether the NFA is valid:
#    1. States set is not empty.
#    2. Initial state is in states.
#    3. Final states are subset of states.
#    4. The transition function contains characters only from its alphabet.
#    5. The transition function contains states only from its states set.
automaton.is_valid() # returns true
Helper functions for altering an NFA

All of the NFA class methods for altering the automaton are used the same way as with DFA class instead of one:

# this method either adds a transition, or overwrites the existing one
# the difference compared to the DFA is that it takes a *set* of next states
automaton.set_transition("s1", {"s2"}, "1")

TURING MACHINE

This library supports deterministic and multi-tape Turing machines. You can find the implementation in the module turing. Consider the class located in the base.py as abstract, its only purpose is to avoid duplicity in the implementation of these models.

In order to create a Turing machine you will need to specify the seven-tuple (Q, Σ, Γ, δ, q0, q_acc, q_rej), where:

  • The set of states Q is represented by Set[str]
  • The set of alphabet symbols Σ is represented by Set[str]
  • The transition function δ is represented by either DTMTransitions or MTMTransitions. These types are described below.
  • The initial state q0 is represented by str
  • The accepting state q_acc is represented by str
  • The rejecting state q_rej is represented by str

Tape

The implementation of the tape for the Turing machine can be found in the file tape.py. The tape class is only used internally by the DTM and MTM objects - you will probably not use it directly.

from ib110hw.turing.tape import Tape

tape: Tape = Tape()
tape.write("Hello")
print(tape)         # | H | e | l | l | o |   |
                    #   ^

tape.move_left()
print(tape)         # |   | H | e | l | l | o |   |
                    #   ^

tape.move_right()
tape.move_right()
print(tape)         # |   | H | e | l | l | o |   |
                    #           ^

tape.write_symbol("a")
print(tape)         # |   | H | a | l | l | o |   |
                    #           ^

tape.clear()        # |   |
                    #   ^

The module tape also contains enum for the direction of tape head:

class Direction(Enum):
    LEFT = -1
    STAY = 0
    RIGHT = 1
    
    # shorthand aliases
    L = -1
    S = 0
    R = 1

    def __repr__(self):
        return self.name

Deterministic Turing Machine (DTM)

The following DTM checks whether the input string is a palindrome:

from ib110hw.turing.dtm import DTM, DTMTransitions

transitions: DTMTransitions = {
    "init": {
        ">": ("mark", ">", Direction.RIGHT),
    },
    "mark": {
        "a": ("foundA", "X", Direction.RIGHT),
        "b": ("foundB", "X", Direction.RIGHT),
        "X": ("accept", "X", Direction.STAY),
        "": ("accept", "", Direction.STAY),
    },
    "foundA": {
        "a": ("foundA", "a", Direction.RIGHT),
        "b": ("foundA", "b", Direction.RIGHT),
        "X": ("checkA", "X", Direction.LEFT),
        "": ("checkA", "", Direction.LEFT),
    },
    "checkA": {
        "a": ("back", "X", Direction.LEFT),
        "b": ("reject", "b", Direction.STAY),
        "X": ("accept", "X", Direction.STAY),
    },
    "foundB": {
        "a": ("foundB", "a", Direction.RIGHT),
        "b": ("foundB", "b", Direction.RIGHT),
        "X": ("checkB", "X", Direction.LEFT),
        "": ("checkB", "", Direction.LEFT),
    },
    "checkB": {
        "a": ("reject", "a", Direction.STAY),
        "b": ("back", "X", Direction.LEFT),
        "X": ("accept", "X", Direction.STAY),
    },
    "back": {
        "a": ("back", "a", Direction.LEFT),
        "b": ("back", "b", Direction.LEFT),
        "X": ("mark", "X", Direction.RIGHT)
    }
}

machine: DTM = DTM(
    states={"init", "mark", "gotoEndA", "checkA", "gotoEndB", "checkB", "accept", "reject"},
    input_alphabet={"a", "b"},
    acc_states="accept",
    rej_states="reject",
    initial_state="init",
    transitions=transitions
)

machine.write_to_tape("aabbabbaa")

DTM Transition function

A DTM transition function is represented by a nested dictionary defined by the type DTMTransitions. The keys of this dictionary are states of the turing machine, and values are dictionaries with read symbols as keys and a tuple containing the next state, symbol to be written and the tape head direction as values.

Rule δ(init, >) -> (next, >, 1) can be defined like so:

function: DTMransitions = {
    "init": {
        ">": ("next", ">", Direction.RIGHT)
        }
}

Loading From a File

DTM can also be loaded from a file. Format is shown below:

# name of the initial state
init init

# name of the accepting state
acc acc

# name of the rejecting state
rej rej

# alphabet characters without start_symbol
alphabet a b

---

# current read -> next write direction(L, R, S)
# ! underscore (_) is used to depict <space> !
init    > -> mark   > R
mark    a -> foundA X R
mark    b -> foundB X R
mark    X -> acc    X S
mark    _ -> acc    _ S
foundA  a -> foundA a R
foundA  b -> foundA b R
foundA  X -> checkA X L
foundA  _ -> checkA _ L
checkA  a -> back   X L
checkA  b -> acc    b S
checkA  X -> rej    X S
foundB  a -> foundB a R
foundB  b -> foundB b R
foundB  X -> checkB X L
foundB  _ -> checkB _ L
checkB  a -> reject a S
checkB  b -> reject X L
checkB  X -> reject X S
back    a -> back   a L
back    b -> back   b L
back    X -> mark   X R

The file above can then be simply loaded using the import_dtm(...):

from ib110hw.turing.utils import import_dtm

machine = import_dtm("./dtm_file")

Multi-tape Turing Machine (MTM)

On top of the properties required to create DTM, you will need to specify the number of tapes as well. The default tape count is set to 2.

The following MTM has the same function as the DTM above:

from ib110hw.turing.mtm import MTM, MTMTransitions
from ib110hw.turing.tape import Direction

transitions: MTMTransitions = {
    "init": {
        (">", ""): ("copy", (">", ""), (Direction.R, Direction.S))
    },
    "copy": {
        ("a", ""): ("copy", ("a", "a"), (Direction.R, Direction.R)),
        ("b", ""): ("copy", ("b", "b"), (Direction.R, Direction.R)),
        ("", ""): ("goToStart", ("", ""), (Direction.L, Direction.S)),
    },
    "goToStart": {
        ("a", ""): ("goToStart", ("a", ""), (Direction.L, Direction.S)),
        ("b", ""): ("goToStart", ("b", ""), (Direction.L, Direction.S)),
        (">", ""): ("check", (">", ""), (Direction.R, Direction.L))
    },
    "check": {
        ("a", "a"): ("check", ("a", "a"), (Direction.R, Direction.L)),
        ("b", "b"): ("check", ("b", "b"), (Direction.R, Direction.L)),
        ("", ""): ("accept", ("", ""), (Direction.S, Direction.S)),
        ("a", "b"): ("reject", ("a", "b"), (Direction.S, Direction.S)),
        ("b", "a"): ("reject", ("b", "a"), (Direction.S, Direction.S)),
    }
}

machine: MTM = MTM(
    states={"init", "goToEnd", "goToStart", "check", "accept", "reject"},
    initial_state="init",
    input_alphabet={"a", "b"},
    acc_states="accept",
    rej_states="reject",
    transitions=transitions)

machine.write_to_tape("aabbabbaa")

MTM Transition Function

A MTM transition function is represented by a nested dictionary defined by the type MTMTransitions. Compared to DTMTransitions, it takes a tuple of read symbols instead of a singular symbol and a tuple of directions instead of a singular direction. Length of these tuples is the amount of tapes.

Rule δ(init, (>, ␣)) = (next, (>, a), (1, 0)) can be defined like so:

function: MTMransitions = {
    "init": {
        (">", ""): ("next", (">", "a"), (Direction.RIGHT, Direction.LEFT))
        }
}

MTM can also be loaded from a file. Format is shown below:

# name of the initial state
init init

# name of the accepting state
acc acc

# name of the rejecting state
rej rej

# alphabet characters without start_symbol
alphabet a b c

# the amount of tapes (>= 2)
tapes 2

---

# current (reads) -> next [writes] [directions]([L(eft), R(ight), S(tay)])
# ! _ (underscore) is used to depict <space> !
# such spacing is not required
init        (> _) -> copy         (> _) (R S)
copy        (a _) -> copy         (a a) (R R)
copy        (b _) -> copy         (b b) (R R)
copy        (_ _) -> goToStart    (_ _) (L S)
goToStart   (a _) -> goToStart    (a _) (L S)
goToStart   (b _) -> goToStart    (b _) (L S)
goToStart   (> _) -> check        (> _) (R L)
check       (a a) -> check        (a a) (R L)
check       (b b) -> check        (b b) (R L)
check       (_ _) -> acc          (_ _) (S S)
check       (a b) -> rej          (a b) (S S)
check       (b a) -> rej          (b a) (S S)

The file above can then be simply loaded using the import_mtm(...):

from ib110hw.turing.utils import import_mtm

machine = import_mtm("./mtm_file")

DTM and MTM Simulation

You can simulate the Turing machine using the provided function simulate(...). By default, every step of the Turing machine will be printed to console with 0.5s delay in-between. This behavior can be changed by setting the to_console and delay parameters. If the parameter to_console is set to False, the delay will be ignored.

machine.simulate(to_console=True, delay=0.3) # True

There is also an option to simulate the calculation step-by-step, i.e., the TM will wait for user input (arrow keys). It allows for going back and forward in the calculation. This can be enabled by setting the step_by_step parameter to True. The delay and to_console parameters are ignored.

machine.simulate(step_by_step=True)

If you want to look at the whole history, you can set parameter to_file to True. Every step will be printed to file based on the path provided in the parameter path. Default path is set to ./simulation.md.

machine.simulate(to_console=False, to_file=True, path="~/my_simulation.md") 

The BaseTuringMachine class contains the attribute max_steps to avoid infinite looping. By default, it is set to 100. The computation will stop if the simulation exceeds the value specified by this attribute. This can be an issue on larger inputs, so setting it to a bigger number may be needed.

turing.max_steps = 200

Simulation in PyCharm

For the optimal visualization of the simulation in PyCharm you need to enable the Terminal emulation.

You can do so by going to Run > Edit configurations ... and then checking the Emulate terminal in output console box.

Project details


Download files

Download the file for your platform. If you're not sure which to choose, learn more about installing packages.

Source Distribution

ib110hw-0.1.7.tar.gz (33.4 kB view details)

Uploaded Source

Built Distribution

If you're not sure about the file name format, learn more about wheel file names.

ib110hw-0.1.7-py3-none-any.whl (27.1 kB view details)

Uploaded Python 3

File details

Details for the file ib110hw-0.1.7.tar.gz.

File metadata

  • Download URL: ib110hw-0.1.7.tar.gz
  • Upload date:
  • Size: 33.4 kB
  • Tags: Source
  • Uploaded using Trusted Publishing? No
  • Uploaded via: twine/3.8.0 pkginfo/1.9.6 readme-renderer/34.0 requests/2.27.1 requests-toolbelt/0.9.1 urllib3/1.26.15 tqdm/4.64.1 importlib-metadata/4.8.3 keyring/22.3.0 rfc3986/1.5.0 colorama/0.4.5 CPython/3.6.8

File hashes

Hashes for ib110hw-0.1.7.tar.gz
Algorithm Hash digest
SHA256 674fbd37306af3a5cf58b0159dbd99d84e1a114919e03d9a8af5413702d38601
MD5 7a26c5920d0b81f18d1a33f618999c1f
BLAKE2b-256 3a610d8eef5a39112f197d5daa400db140a75cd09c72cf3950d95aa1d0b0ddc1

See more details on using hashes here.

File details

Details for the file ib110hw-0.1.7-py3-none-any.whl.

File metadata

  • Download URL: ib110hw-0.1.7-py3-none-any.whl
  • Upload date:
  • Size: 27.1 kB
  • Tags: Python 3
  • Uploaded using Trusted Publishing? No
  • Uploaded via: twine/3.8.0 pkginfo/1.9.6 readme-renderer/34.0 requests/2.27.1 requests-toolbelt/0.9.1 urllib3/1.26.15 tqdm/4.64.1 importlib-metadata/4.8.3 keyring/22.3.0 rfc3986/1.5.0 colorama/0.4.5 CPython/3.6.8

File hashes

Hashes for ib110hw-0.1.7-py3-none-any.whl
Algorithm Hash digest
SHA256 17280ce9f71dc0c0ca5c21455e631155d04c3059112b6efc90203982a35bc96f
MD5 fdcd57c20f2714e22d306794b77aabe7
BLAKE2b-256 6ea5b2aae392dbb199f5fc81a7a011e71a33d3ea74cec3140232ef2a892a693e

See more details on using hashes here.

Supported by

AWS Cloud computing and Security Sponsor Datadog Monitoring Depot Continuous Integration Fastly CDN Google Download Analytics Pingdom Monitoring Sentry Error logging StatusPage Status page