Skip to main content

Simple Python tools for plotting learning curves of neural network models trained with the Keras, Ultralytics YOLO or scikit-learn framework in a single figure in an easy-to-understand format.

Project description

LCurveTools

Simple Python tools for plotting learning curves of neural network models trained with the Keras, Ultralytics YOLO or scikit-learn framework in a single figure in an easy-to-understand format.

Currently the lcurvetools package provides three basic functions: lcurves, history_concatenate and lcurves_by_MLP_estimator.

NOTE: All of the plotting examples below are for interactive Python mode in Jupyter-like environments. If you are in non-interactive mode you may need to explicitly call plt.show() after calling the lcurves or lcurves_by_MLP_estimator function to display the window with built plots on your screen.

Installation

The easiest way to install the lcurvetools package for the first time is using pip:

pip install lcurvetools

To update a previously installed package to the latest version, use the command:

pip install lcurvetools --upgrade

The lcurves function to plot learning curves based on model training history dictionaries

The lcurves function and its alias lcurves_by_history plot learning curves based on a dictionary or a list of dictionaries with model training histories. Each dictionary with a history should contain keys with training and validation values of losses and metrics, as well as learning rate values at successive epochs, for example: {"loss": [0.5, 0.3, 0.2], "val_loss": [0.6, 0.4, 0.25], "accuracy": [0.7, 0.8, 0.85], "val_accuracy": [0.65, 0.75, 0.8], "lr": [0.01, 0.01, 0.001]}. This training history format is adopted in the Keras library and is also widely used when working with other libraries.

Neural network model training with Keras is performed using the fit method. The method returns the History object with the history attribute which is dictionary and contains keys with training and validation values of losses and metrics, as well as learning rate values at successive epochs. The lcurves function and its alias lcurves_by_history use the History.history dictionary to plot the learning curves as the dependences of the above values on the epoch index.

Import the keras module and the lcurves function:

import keras
from lcurvetools import lcurves

Plotting learning curves of one model based on one dictionary

Usage scheme

  1. Create, compile and fit the keras model:

    model = keras.Model(...) # or keras.Sequential(...)
    model.compile(...)
    hist = model.fit(...)
    
  2. Use hist.history dictionary to plot the learning curves as the dependences of values of all keys in the dictionary on an epoch index with automatic recognition of keys of losses, metrics and learning rate:

    lcurves(hist.history);
    

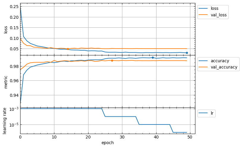
Typical appearance of the output figure

The appearance of the output figure depends on the list of keys in the hist.history dictionary, which is determined by the parameters of the compile and fit methods of the model. For example, for a typical usage of these methods, the list of keys would be ['loss', 'accuracy', 'val_loss', 'val_accuracy'] and the output figure will contain 2 subplots with loss and metrics vertical axes and might look like this:

model.compile(loss="categorical_crossentropy", metrics=["accuracy"])
hist = model.fit(x_train, y_train, validation_split=0.1, epochs=50)
lcurves(hist.history);

typical plot of learning curves

Of course, if the metrics parameter of the compile method is not specified, then the output figure will not contain a metric subplot.

Minimum values of loss curves and the best values of metric curves are marked by points. The best values of metrics are determined based on the specified optimization mode for each metric (see optimization_modes parameter). By default, the optimization modes are determined automatically based on metric name with the lcurves.utils.get_mode_by_metric_name function.

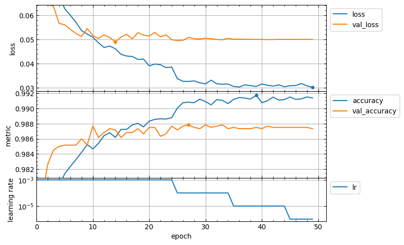
Usage of callbacks for the fit method can add new keys to the hist.history dictionary. For example, the ReduceLROnPlateau callback adds the lr key with learning rate values for successive epochs. In this case the output figure will contain additional subplot with learning rate vertical axis in a logarithmic scale and might look like this:

hist = model.fit(x_train, y_train, validation_split=0.1, epochs=50,
    callbacks=[keras.callbacks.ReduceLROnPlateau()],
)
lcurves(hist.history);

figure with learning rate subplot

Customizing appearance of the output figure

The lcurves function has optional parameters to customize the appearance of the output figure. For example, the epoch_range_to_scale option allows to specify the epoch index range within which the subplots of the losses and metrics are scaled.

  • If epoch_range_to_scale is a list or a tuple of two int values, then they specify the epoch index limits of the scaling range in the form [start, stop), i.e. as for slice and range objects.
  • If epoch_range_to_scale is an int value, then it specifies the lower epoch index start of the scaling range, and the losses and metrics subplots are scaled by epochs with indices from start to the last.

So, you can exclude the first 5 epochs from the scaling range as follows:

lcurves(hist.history, epoch_range_to_scale=5);

figure with custom scaling

For a description of other optional parameters of the lcurves function to customize the appearance of the output figure, see its docstring.

The lcurves function returns a numpy array or a list of the matplotlib.axes.Axes objects corresponded to the built subplots from top to bottom. So, you can use the methods of these objects to customize the appearance of the output figure.

axs = lcurves(history, epoch_range_to_scale=6)
axs[0].tick_params(axis="x", labeltop=True)
axs[-1].set_xlabel('number of passed epochs')
axs[-1].legend().remove()

figure with adjusted axes

Plotting learning curves based on a list of dictionaries with fitting histories of several models

Usage scheme

  1. Create, compile and fit the several keras models:

    model_1 = keras.Model(...) # or keras.Sequential(...)
    model_1.compile(...)
    hist_1 = model.fit(...)
    
    model_2 = keras.Model(...) # or keras.Sequential(...)
    model_2.compile(...)
    hist_2 = model.fit(...)
    
    <...>
    
  2. Use a list of dictionaries [hist_1.history, hist_2.history, ...] to plot all learning curves of all models in a single figure:

    lcurves([hist_1.history, hist_2.history, ...]);
    

Plotting learning curves based on a list of dictionaries with independent refitting histories of one model

Usage scheme

  1. Organize a loop of multiple independent retraining of the model and create a list of dictionaries with fitting histories:

    histories = []
    for i in range(5):
        model = keras.Model(...) # or keras.Sequential(...)
        model.compile(...)
        hist = model.fit(...)
        histories.append(hist.history)
    
  2. Use the histories dictionary list to plot all learning curves of the model in a single figure:

    lcurves(histories);
    

Note: The ability to plot all of a model's learning curves in a single figure is useful for k-fold cross-validation analysis.

The history_concatenate function to concatenate two History.history dictionaries

This function is useful for combining histories of a model fitting with two or more consecutive runs into a single history to plot full learning curves.

Usage scheme

  • Import the keras module and the history_concatenate, lcurves_by_history function:
import keras
from lcurvetools import history_concatenate, lcurves
model = keras.Model(...) # or keras.Sequential(...)
model.compile(...)
hist1 = model.fit(...)
  • Compile as needed and fit using possibly other parameter values:
model.compile(...) # optional
hist2 = model.fit(...)
  • Concatenate the .history dictionaries into one:
full_history = history_concatenate(hist1.history, hist2.history)
  • Use full_history dictionary to plot full learning curves:
lcurves(full_history);

The lcurves_by_MLP_estimator function to plot learning curves of the scikit-learn MLP estimator

The scikit-learn library provides 2 classes for building multi-layer perceptron (MLP) models of classification and regression: MLPClassifier and MLPRegressor. After creation and fitting of these MLP estimators with using early_stopping=True the MLPClassifier and MLPRegressor objects have the loss_curve_ and validation_scores_ attributes with train loss and validation score values at successive epochs. The lcurves_by_MLP_estimator function uses the loss_curve_ and validation_scores_ attributes to plot the learning curves as the dependences of the above values on the epoch index.

Usage scheme

  • Import the MLPClassifier (or MLPRegressor) class and the lcurves_by_MLP_estimator function:
from sklearn.neural_network import MLPClassifier
from lcurvetools import lcurves_by_MLP_estimator
  • Create and fit the scikit-learn MLP estimator:
clf = MLPClassifier(..., early_stopping=True)
clf.fit(...)
  • Use clf object with loss_curve_ and validation_scores_ attributes to plot the learning curves as the dependences of loss and validation score values on epoch index:
lcurves_by_MLP_estimator(clf);

Typical appearance of the output figure

The lcurves_by_MLP_estimator function with default value of the parameter on_separate_subplots=False shows the learning curves of loss and validation score on one plot with two vertical axes scaled independently. Loss values are plotted on the left axis and validation score values are plotted on the right axis. The output figure might look like this:

lcurves_by_MLP_estimator on one plot

Note: the minimum value of loss curve and the maximum value of validation score curve are marked by points.

Customizing appearance of the output figure

The lcurves_by_MLP_estimator function has optional parameters to customize the appearance of the output figure. For example,the lcurves_by_MLP_estimator function with on_separate_subplots=True shows the learning curves of loss and validation score on two separated subplots:

lcurves_by_MLP_estimator(clf, on_separate_subplots=True);

lcurves_by_MLP_estimator on two subplot

And the epoch_range_to_scale option allows to specify the epoch index range within which the subplots of the losses and metrics are scaled (see details about this option in the docstring of the lcurves_by_MLP_estimator function).

lcurves_by_MLP_estimator(clf, epoch_range_to_scale=10);

lcurves_by_MLP_estimator - custom scaling

For a description of other optional parameters of the lcurves_by_MLP_estimator function to customize the appearance of the output figure, see its docstring.

The lcurves_by_MLP_estimator function returns a numpy array or a list of the matplotlib.axes.Axes objects of an output figure (see additional details in the Returns section of the lcurves_by_MLP_estimator function docstring). So, you can use the methods of these objects to customize the appearance of the output figure.

axs = lcurves_by_MLP_estimator(clf, epoch_range_to_scale=11)
axs[0].grid(axis='y', visible=False)
axs[1].grid(axis='y', visible=False)
axs[0].set_xlabel('number of passed epochs')
axs[1].set_ylabel('validation accuracy');

lcurves_by_MLP_estimator - adjusted axes

CHANGELOG

All notable changes to this project will be documented in this file.

The format is based on Keep a Changelog, and this project adheres to Semantic Versioning.

[1.2.0] - 2026-05-05

Added

  • A new boolean parameter optimum_values_in_legend has been added to the lcurves() function. The parameter specifies whether to display the optimum values of epochs and metrics in the legends of the the losses and metrics subplots.

[1.1.1] - 2026-02-26

Changed

  • Improved x-axis tick placement logic in lcurves() function for better readability of epoch numbers on the plot.

Fixed

  • Small bug fixes.

[1.1.0] - 2026-01-24

Changed

  • The lcurves_by_history() function has been renamed to lcurves() to make the code easier to write and understand, but lcurves_by_history() remains as an alias for backward compatibility.
  • The history parameter of the lcurves() function has been renamed to histories. It can now accept a list of dictionaries with several fitting histories of keras models.

Added

  • Support for correct recognition of key names in learning history of model training with the Ultralytics YOLO library.
  • Support for plotting multiple histories on a single figure using lcurves() function.
  • The default value of the initial_epoch parameter of the lcurves function has been changed from 0 to 1.
  • New parameters in lcurves():
    • color_grouping_by: Controls curve color grouping in subplots.
    • model_names: Customizes legend labels for each history.
    • optimization_modes: Sets metric optimization direction ("min"/"max")
  • New utils module with utility functions:
    • get_mode_by_metric_name(): Determines metric optimization mode.
    • get_best_epoch_value(): Finds optimal epoch value.
    • history_concatenate(): Concatenates two histories into one. The function was moved from the lcurvetools module to the utils module, but it remained available for import from the main lcurvetools package module.

[1.0.1] - 2025-01-23

Changed

The default value for the figsize parameter of the lcurves_by_history() and lcurves_by_MLP_estimator() functions has been changed to None.

[1.0.0] - 2024-01-22

Initial release.

Project details


Download files

Download the file for your platform. If you're not sure which to choose, learn more about installing packages.

Source Distribution

lcurvetools-1.2.0.tar.gz (24.8 kB view details)

Uploaded Source

Built Distribution

If you're not sure about the file name format, learn more about wheel file names.

lcurvetools-1.2.0-py3-none-any.whl (19.5 kB view details)

Uploaded Python 3

File details

Details for the file lcurvetools-1.2.0.tar.gz.

File metadata

  • Download URL: lcurvetools-1.2.0.tar.gz
  • Upload date:
  • Size: 24.8 kB
  • Tags: Source
  • Uploaded using Trusted Publishing? No
  • Uploaded via: twine/4.0.2 CPython/3.11.9

File hashes

Hashes for lcurvetools-1.2.0.tar.gz
Algorithm Hash digest
SHA256 d52b1022b01ff05b0f9814a147d51ea9b23c70e967ab4134e0f804e0b850afe7
MD5 acf8f30eb1bb3dc96e108c0c30b5a761
BLAKE2b-256 f5844f7144057e873a169ff56cc136c2f1ec394c7dbdb388985977c866f77cae

See more details on using hashes here.

File details

Details for the file lcurvetools-1.2.0-py3-none-any.whl.

File metadata

  • Download URL: lcurvetools-1.2.0-py3-none-any.whl
  • Upload date:
  • Size: 19.5 kB
  • Tags: Python 3
  • Uploaded using Trusted Publishing? No
  • Uploaded via: twine/4.0.2 CPython/3.11.9

File hashes

Hashes for lcurvetools-1.2.0-py3-none-any.whl
Algorithm Hash digest
SHA256 fcc9ca54f78070658d9fc5d0cc565af77a41ec9a048a68524be026deea902e54
MD5 aa6693ec6350c19928c03f9124bac446
BLAKE2b-256 6419c46b86a4c26bfcd0c84a5511d1fa3a73bddcb7d731e3ca2efb6807783e94

See more details on using hashes here.

Supported by

AWS Cloud computing and Security Sponsor Datadog Monitoring Depot Continuous Integration Fastly CDN Google Download Analytics Pingdom Monitoring Sentry Error logging StatusPage Status page