Skip to main content

A Python library for creating and optimizing processing pipeline.

Project description

PipeOptz: A Framework for Pipeline Optimization

PyPI - Python Version PyPI CI PyPI - License pylint Score

PipeOptz is a Python library for building, visualizing, and optimizing complex processing pipelines. It allows you to define a series of operations as a graph, manage the flow of data, and then automatically tune the parameters of those operations to achieve a desired outcome.

The library is built around a few key ideas:

  • Node: A Node is the basic building block of a pipeline. It wraps a single Python function and its parameters.

  • Pipeline: The Pipeline holds the entire workflow. You add nodes to it and define their dependencies, forming a Directed Acyclic Graph (DAG). The pipeline manages the execution order.

  • Parameter: A Parameter defines the search space for a value you want to optimize. The library provides different types, like IntParameter, FloatParameter, and ChoiceParameter.

  • PipelineOptimizer: This is the engine that tunes your pipeline. It takes your pipeline, a set of Parameters to vary, and a loss_function to minimize, and uses metaheuristic algorithms (like Genetic Algorithms, Bayesian Optimization, etc.) to find the best parameter values.

The package is provided with a LICENSE file which contains the license terms.

Installation

Installation from PyPi

The easiest way to install PipeOptz is through pip. Open your terminal and run the follwing command:

pip install --upgrade --user pipeoptz

Installation from source

If you're reading this README from a source distribution, you can install PipeOptz after downloading it with:

pip install --upgrade --user .

You can also install the latest development version directly from Github:

pip install --upgrade --user https://github.com/centralelyon/pipeoptz/archive/main.zip

For local development install PipeOptz in editable mode:

Quick Start

Let's create a basic pipeline with a few arithmetic operations to see how it works.

from pipeoptz import Pipeline, Node

# 1. Define the functions your nodes will execute
def add(x, y):
    return x + y

def multiply(a, b):
    return a * b

# 2. Create a pipeline
pipeline = Pipeline(name="arithmetic_pipeline")

# 3. Create nodes and add them to the pipeline with dependencies
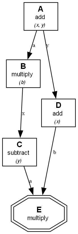
# Node A: 5 + 3 = 8
pipeline.add_node(Node(id="A", func=add, fixed_params={"x": 5, "y": 3}))

# Node B: Takes the output of A as input -> 8 * 10 = 80
pipeline.add_node(Node(id="B", func=multiply, fixed_params={"b": 10}), predecessors={"a": "A"})

# Node C: Takes the output of B as input -> 80 + 1 = 81
pipeline.add_node(Node(id="C", func=add, fixed_params={"y": 1}), predecessors={"x": "B"})


# 4. Run the pipeline
# The result is a tuple: (last_node_id, history_of_all_node_outputs, execution_times)
last_node, history, _ = pipeline.run()

print(f"Pipeline finished at node: {last_node}")
print(f"Result of final node 'C': {history[last_node]}")
print(f"History of all node outputs: {history}")

# 5. Visualize the pipeline
# This creates a .dot file and a .png image of the graph
pipeline.to_dot("basic.dot", generate_png=True)

This script will output:

Pipeline finished at node: C
Result of final node 'C': 81
History of all node outputs: {'A': 8, 'B': 80, 'C': 81}

And it will generate an image (basic.png) of your pipeline's structure, taken from the basic.ipynb example:

Simple Pipeline Graph

Optimizing a Pipeline

The real power of PipeOptz comes from optimization. The simple example above uses fixed parameters, but you can easily make them tunable.

To do this, you would:

  1. Create a PipelineOptimizer.
  2. Define which parameters to tune using objects like IntParameter or FloatParameter.
  3. Provide a loss_function that calculates how "good" the pipeline's output is.
  4. Run the optimizer.optimize() method.

For a complete, runnable optimization example, please see the Jupyter Notebook at: examples/advanced/simple.ipynb.

Examples

Several example pipelines are provided in the examples/ directory. These include:

  • basic/: A simple pipeline with arithmetic operations.
  • cond/: A pipeline demonstrating conditional branching.
  • for/: A pipeline demonstrating for loops.
  • while/: A pipeline demonstrating while loops.
  • opti/: A pipeline demonstrating optimization pipeline with tunable parameters.

Building Docs

This project uses MkDocs to generate documentation.

To serve the documentation locally, run the following command from the root of the project:

mkdocs serve

This will start a local server, and you can view the documentation by opening your browser to http://127.0.0.1:8000.

Testing

PipeOptz makes use of pytest for its test suite.

pip install pytest
pytest

Contributing

Contributions are welcome! Please see the CONTRIBUTING.md file for details on how to get started.

License

This project is licensed under the MIT License. See the LICENSE file for details.

This research is partially funded by ANR, the French National Research Agency with the GLACIS project (grant ANR-21-CE33-0002).

Project details


Download files

Download the file for your platform. If you're not sure which to choose, learn more about installing packages.

Source Distribution

pipeoptz-0.1.6.tar.gz (39.7 kB view details)

Uploaded Source

Built Distribution

If you're not sure about the file name format, learn more about wheel file names.

pipeoptz-0.1.6-py3-none-any.whl (29.8 kB view details)

Uploaded Python 3

File details

Details for the file pipeoptz-0.1.6.tar.gz.

File metadata

  • Download URL: pipeoptz-0.1.6.tar.gz
  • Upload date:
  • Size: 39.7 kB
  • Tags: Source
  • Uploaded using Trusted Publishing? No
  • Uploaded via: twine/6.2.0 CPython/3.13.7

File hashes

Hashes for pipeoptz-0.1.6.tar.gz
Algorithm Hash digest
SHA256 dd867be3d2e5ca0bdf22d1a3f371929c79e20c90dccb0e83309c98f4edf5ca6a
MD5 5cc7dc3394ce4d1b793977eee654798a
BLAKE2b-256 f5fa41d4a663db12fc4bb3e8b56beb322ddf9dfcc37016fe8d8c7040c3784ffb

See more details on using hashes here.

File details

Details for the file pipeoptz-0.1.6-py3-none-any.whl.

File metadata

  • Download URL: pipeoptz-0.1.6-py3-none-any.whl
  • Upload date:
  • Size: 29.8 kB
  • Tags: Python 3
  • Uploaded using Trusted Publishing? No
  • Uploaded via: twine/6.2.0 CPython/3.13.7

File hashes

Hashes for pipeoptz-0.1.6-py3-none-any.whl
Algorithm Hash digest
SHA256 dbebf0c358eefb820b035c7d28ee4f5d43dbe7f9abd1fde80bded8c65b6fe8e7
MD5 49ee86fa559b0efe8542851ebd66fc4f
BLAKE2b-256 47f157e226d6afa92709310cf9ea1e1f2ea63fa27a653386a85a89ab06b43e0a

See more details on using hashes here.

Supported by

AWS Cloud computing and Security Sponsor Datadog Monitoring Depot Continuous Integration Fastly CDN Google Download Analytics Pingdom Monitoring Sentry Error logging StatusPage Status page