Skip to main content

Random Matrix Theory Python package

Project description

scikit-rmt logo

PyPI Build Status Documentation Status codecov License Status PyPI-Python Version

scikit-rmt: Random Matrix Theory Python package

Random Matrix Theory, or RMT, is the field of Statistics that analyses matrices that their entries are random variables.

This package offers classes, methods and functions to give support to RMT in Python. Includes a wide range of utils to work with different random matrix ensembles, random matrix spectral laws and estimation of covariance matrices. See documentation or visit the https://github.com/AlejandroSantorum/scikit-rmt of the project for further information on the features included in the package.


Documentation

The documentation is available at https://scikit-rmt.readthedocs.io/en/latest/, which includes detailed information of the different modules, classes and methods of the package, along with several examples showing different funcionalities.


Installation

Using a virtual environment is recommended to minimize the chance of conflicts. However, the global installation should work properly as well.

Local installation using venv (recommended)

Navigate to your project directory.

cd MyProject

Create a virtual environment (you can change the name "env").

python3 -m venv env

Activate the environment "env".

source env/bin/activate

Install using pip.

pip install scikit-rmt

You may need to use pip3.

pip3 install scikit-rmt

Global installation

Just install it using pip or pip3.

pip install scikit-rmt

Requirements

scikit-rmt depends on the following packages:

  • numpy - The fundamental package for scientific computing with Python
  • matplotlib - Plotting with Python
  • scipy - Scientific computation in Python

Check the pinned versions in the requirements.txt file.


Main features

scikit-rmt provides support to analyze, study and simulate Random Matrix Theory properties and results:

skrmt.ensemble — Random Matrix Ensembles

  • Sampling of the following random matrix ensembles:
    • Gaussian Ensemble (GOE, GUE and GSE; for beta=1, 2 and 4 respectively): class GaussianEnsemble.
    • Wishart Ensemble (WRE, WCE and WQE; for beta=1, 2 and 4 respectively): class WishartEnsemble.
    • Manova Ensemble (MRE, MCE and MQE; for beta=1, 2 and 4 respectively): class ManovaEnsemble.
    • Circular Ensemble (COE, CUE, CSE; for beta=1, 2 and 4 respectively): class CircularEnsemble.
  • Eigenvalue computation for the previous ensembles using the class method eigvals.
  • Computation of the joint eigenvalue probability density function given the random matrix eigenvalues, using the class method joint_eigval_pdf.
  • Computation of the empirical spectral histogram by executing the class method eigval_hist.
  • Plotting of the empirical spectral histogram using the class method plot_eigval_hist.
  • Computation and plotting of the following spectral laws (spectral_law sub-module), including the calculation and plotting of the corresponding probability density functions (PDFs) and cumulative distribution functions (CDFs):
    • Wigner Semicircle law: describes the limiting distribution of the eigenvalues of Wigner matrices (in particular, random matrices from the Gaussian Ensemble). Implemented by class WignerSemicircleDistribution.
    • Tracy-Widom law: describes the limiting distribution of the largest eigenvalue of Wigner matrices (in particular, random matrices from the Gaussian Ensemble). Implemented by class TracyWidomDistribution.
    • Marchenko-Pastur law: describes the limiting distribution of the eigenvalues of Wishart matrices (random matrices from the Wishart Ensemble). Implemented by class MarchenkoPasturDistribution.
    • Manova Spectrum law: introduced and proved by K. W. Wachter (1980), it describes the limiting distribution of the eigenvalues of Manova matrices (random matrices from the Manova Ensemble). Implemented by class ManovaSpectrumDistribution.

skrmt.denoise — RMT-based Image Denoising

  • Patch-based MP-PCA denoising of image stacks via MarchenkoPasturPCADenoiser: denoises a set of p noisy acquisitions of the same scene (e.g. repeated MRI scans) by thresholding singular values against the Marchenko-Pastur upper spectral edge. Follows the scikit-learn BaseEstimator / TransformerMixin interface, making it composable in Pipeline objects and compatible with GridSearchCV.
  • Automatic noise estimation: when the noise level σ is not known, it can be estimated from the data using one of three built-in strategies selected via sigma_estimator:
    • "median" (default) — fast and robust bulk-median estimator.
    • "min_eigen" — lower MP-edge estimator; accurate for small aspect ratios.
    • "mp_fit" — least-squares fit of the MP bulk median via SciPy; most accurate.
  • Image quality metrics (skrmt.denoise.metrics): standard metrics to evaluate denoising performance, each available in single-image, per-image batch, and stack-average flavours:
    • SNR — Signal-to-Noise Ratio in dB.
    • PSNR — Peak Signal-to-Noise Ratio in dB.
    • MAE — Mean Absolute Error (via scikit-learn).
    • RMSE — Root Mean Squared Error (via scikit-learn).

A brief tutorial

1. Random Matrix Ensembles (skrmt.ensemble)

Several random matrix ensembles can be sampled: Gaussian Ensembles, Wishart Ensembles, Manova Ensembles and Circular Ensembles. As an example, the following code shows how to sample a Gaussian Orthogonal Ensemble (GOE) random matrix.

from skrmt.ensemble.gaussian_ensemble import GaussianEnsemble
# sampling a GOE (beta=1) matrix of size 3x3
goe = GaussianEnsemble(beta=1, n=3)
print(goe.matrix)
[[ 0.34574696 -0.10802385  0.38245343]
 [-0.10802385 -0.60113963  0.28624612]
 [ 0.38245343  0.28624612 -0.96503739]]

Its spectral density can be easily plotted:

# sampling a GOE matrix of size 1000x1000
goe = GaussianEnsemble(beta=1, n=1000)
# plotting its spectral distribution in the interval (-2,2)
goe.plot_eigval_hist(bins=80, interval=(-2,2), density=True)

GOE density plot

If we sample a non-symmetric/non-hermitian random matrix, its eigenvalues do not need to be real, so a 2D complex histogram has been implemented in order to study spectral density of these type of random matrices. It would be the case, for example, of Circular Symplectic Ensemble (CSE).

from skrmt.ensemble.circular_ensemble import CircularEnsemble

# sampling a CSE (beta=4) matrix of size 2000x2000
cse = CircularEnsemble(beta=4, n=1000)
cse.plot_eigval_hist(bins=80)

CSE density plot

We can boost histogram representation using the results described by A. Edelman and I. Dumitriu in Matrix Models for Beta Ensembles and by J. Albrecht, C. Chan, and A. Edelman in Sturm Sequences and Random Eigenvalue Distributions (check references). Sampling certain random matrices (Gaussian Ensemble and Wishart Ensemble matrices) in its tridiagonal form we can speed up histogramming procedure. The following graphical simulation using GOE matrices tries to illustrate it. Speed up by tridigonal forms

On the other hand, for all the supported ensembles, the joint eigenvalue probability density function can be computed by using the class method joint_eigval_pdf(eigvals=None). By default, the method computes the joint eigenvalue PDF of the eigenvalues of the sampled random matrix. However, the method can be called using a pre-computed array of eigenvalues, and the joint eigenvalue PDF of these eigenvalues is returned. AS an example, we can simulate sampling and histogramming many eigenvalues of GOE random matrices of size 2x2, as well as illustrating the joint eigenvalue PDF for GOE matrices 2x2. This simulation is shown in the figure below. Joint Eigenvalue PDF for GOE

In addition, several spectral laws can be analyzed using this library, such as Wigner's Semicircle Law, Marchenko-Pastur Law and Tracy-Widom Law. The analytical probability density function can also be plotted by using the plot_law_pdf=True argument.

Plot of Wigner's Semicircle Law, sampling 100000 independent eigenvalues of a GOE matrix:

from skrmt.ensemble.spectral_law import WignerSemicircleDistribution

wsd = WignerSemicircleDistribution(beta=1)
wsd.plot_empirical_pdf(sample_size=100000, bins=80, density=True)

Wigner Semicircle Law

from skrmt.ensemble.spectral_law import WignerSemicircleDistribution

wsd = WignerSemicircleDistribution(beta=1)
wsd.plot_empirical_pdf(sample_size=100000, bins=80, density=True, plot_law_pdf=True)

Wigner Semicircle Law PDF

Plot of Marchenko-Pastur Law, sampling 100000 independent eigenvalues of a WRE matrix:

from skrmt.ensemble.spectral_law import MarchenkoPasturDistribution

mpd = MarchenkoPasturDistribution(beta=1, ratio=1/3)
mpd.plot_empirical_pdf(sample_size=100000, bins=80, density=True)

Marchenko-Pastur Law

from skrmt.ensemble.spectral_law import MarchenkoPasturDistribution

mpd = MarchenkoPasturDistribution(beta=1, ratio=1/3)
mpd.plot_empirical_pdf(sample_size=100000, bins=80, density=True, plot_law_pdf=True)

Marchenko-Pastur Law PDF

Plot of Tracy-Widom Law, sampling 30000 maximum eigenvalues of GOE matrices:

from skrmt.ensemble.spectral_law import TracyWidomDistribution

twd = TracyWidomDistribution(beta=1)
twd.plot_empirical_pdf(sample_size=30000, bins=80, density=True)

Tracy-Widom Law

from skrmt.ensemble.spectral_law import TracyWidomDistribution

twd = TracyWidomDistribution(beta=1)
twd.plot_empirical_pdf(sample_size=30000, bins=80, density=True, plot_law_pdf=True)

Tracy-Widom Law PDF

The proposed package scikit-rmt also provides support for computing and analyzing the probability density function (PDF) and cumulative distribution function (CDF) of the main random matrix ensembles. In particular, the following classes are implemented in the ensemble.spectral_law module:

  • WignerSemicircleDistribution in skrmt.ensemble.spectral_law.
  • MarchenkoPasturDistribution in skrmt.ensemble.spectral_law.
  • TracyWidomDistribution in skrmt.ensemble.spectral_law.
  • ManovaSpectrumDistribution in skrmt.ensemble.spectral_law.

For example, WignerSemicircleDistribution can be used to plot the Wigner's Semicircle Law PDF:

import numpy as np
import matplotlib.pyplot as plt
from skrmt.ensemble.spectral_law import WignerSemicircleDistribution

x1 = np.linspace(-5, 5, num=1000)
x2 = np.linspace(-10, 10, num=2000)

fig, (ax1, ax2) = plt.subplots(1, 2, figsize=(12,4))

for sigma in [0.5, 1.0, 2.0, 4.0]:
    wsd = WignerSemicircleDistribution(beta=1, center=0.0, sigma=sigma)

    y1 = wsd.pdf(x1)
    y2 = wsd.pdf(x2)

    ax1.plot(x1, y1, label=f"$\sigma$ = {sigma} (R = ${wsd.radius}$)")
    ax2.plot(x2, y2, label=f"$\sigma$ = {sigma} (R = ${wsd.radius}$)")

ax1.legend()
ax1.set_xlabel("x", fontweight="bold")
ax1.set_xticks([-5, -4, -3, -2, -1, 0, 1, 2, 3, 4, 5])
ax1.set_ylabel("density", fontweight="bold")

ax2.legend()
ax2.set_xlabel("x", fontweight="bold")
ax2.set_xticks([-10, -8, -6, -4, -2, 0, 2, 4, 6, 8, 10])
ax2.set_ylabel("density", fontweight="bold")

fig.suptitle("Wigner Semicircle probability density function (PDF)", fontweight="bold")
plt.show()

Wigner Semicircle Law PDF (Analytical)

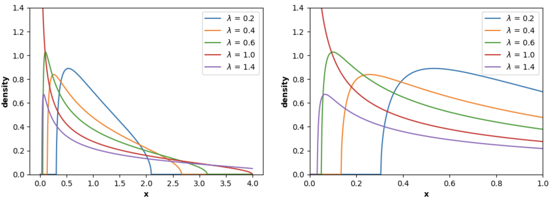
Similarly, MarchenkoPasturDistribution can be used to plot the Marchenko-Pastur Law PDF:

import numpy as np
import matplotlib.pyplot as plt
from skrmt.ensemble.spectral_law import MarchenkoPasturDistribution

x1 = np.linspace(0, 4, num=1000)
x2 = np.linspace(0, 5, num=2000)

fig, (ax1, ax2) = plt.subplots(1, 2, figsize=(12,4))

for ratio in [0.2, 0.4, 0.6, 1.0, 1.4]:
    mpl = MarchenkoPasturDistribution(beta=1, ratio=ratio, sigma=1.0)

    y1 = mpl.pdf(x1)
    y2 = mpl.pdf(x2)

    ax1.plot(x1, y1, label=f"$\\lambda$ = {ratio} ")
    ax2.plot(x2, y2, label=f"$\\lambda$ = {ratio} ")

ax1.legend()
ax1.set_ylim(0, 1.4)
ax1.set_xlabel("x", fontweight="bold")
ax1.set_ylabel("density", fontweight="bold")

ax2.legend()
ax2.set_ylim(0, 1.4)
ax2.set_xlim(0, 1)
ax2.set_xlabel("x", fontweight="bold")
ax2.set_ylabel("density", fontweight="bold")

fig.suptitle("Marchenko-Pastur probability density function (PDF)", fontweight="bold")
plt.show()

Marchenko-Pastur Law PDF (Analytical)

In the following example, we show how we can plot the PDF and CDF of the Tracy-Widom distribution using the class TracyWidomDistribution:

import numpy as np
import matplotlib.pyplot as plt
from skrmt.ensemble.spectral_law import TracyWidomDistribution

x = np.linspace(-5, 2, num=1000)

fig, (ax1, ax2) = plt.subplots(1, 2, figsize=(12,4))

for beta in [1,2,4]:
    twd = TracyWidomDistribution(beta=beta)

    y_pdf = twd.pdf(x)
    y_cdf = twd.cdf(x)

    ax1.plot(x, y_pdf, label=f"$\\beta$ = {beta}")
    ax2.plot(x, y_cdf, label=f"$\\beta$ = {beta}")

ax1.legend()
ax1.set_xlabel("x", fontweight="bold")
ax1.set_ylabel("density", fontweight="bold")
ax1.set_title("Probability density function")

ax2.legend()
ax2.set_xlabel("x", fontweight="bold")
ax2.set_ylabel("distribution", fontweight="bold")
ax2.set_title("Cumulative distribution function")

fig.suptitle("Tracy Widom Law", fontweight="bold")
plt.show()

Tracy-Widom Law PDF and CDF(Analytical)

For more information or insight about the usage of the library, you can visit the official documentation https://scikit-rmt.readthedocs.io/en/latest/ or the directory notebooks, that contains several Python notebooks with tutorials and plenty of examples.

2. RMT-based Image Denoising (skrmt.denoise)

MarchenkoPasturPCADenoiser denoises a stack of p noisy images of the same scene by applying SVD hard-thresholding on overlapping spatial patches. For each patch, singular values whose square falls inside the Marchenko-Pastur noise bulk (at or below λ₊ = σ²(1 + √γ)², where γ = p/n) are zeroed out; the remaining singular values carry true signal and are kept. Overlapping patch reconstructions are averaged to suppress block artefacts.

The class follows the scikit-learn fit / transform interface:

from skrmt.denoise import MarchenkoPasturPCADenoiser

# snapshots: numpy array of shape (p, height, width)
# p independent noisy acquisitions of the same scene

# Option 1 – supply the noise standard deviation directly
denoiser = MarchenkoPasturPCADenoiser(sigma=35)
denoised = denoiser.fit_transform(snapshots)

# Option 2 – estimate sigma automatically from the eigenvalue bulk
denoiser = MarchenkoPasturPCADenoiser(sigma_estimator="median")
denoised = denoiser.fit_transform(snapshots)

Three automatic sigma estimators are available via sigma_estimator:

  • "median" (default) — estimates σ² ≈ median(eigenvalues) / (1 + γ); fast and robust.
  • "min_eigen" — anchors on the lower MP edge λ₋ = σ²(1 − √γ)²; accurate for small γ.
  • "mp_fit" — least-squares fit of the MP bulk median via SciPy; slowest but most accurate.

Denoising quality can be measured with the metrics available in skrmt.denoise.metrics. Each metric exists in a single-image, batch (one value per image) and average (scalar mean) flavour. The average functions accept either a 3-D stack or a single 2-D reference image, which is automatically broadcast across the stack. The table below shows results on a brain MRI slice corrupted by Rician noise (100 acquisitions, σ = 35; see simulations/denoise_mri_rmt_softwarex.ipynb):

Method SNR (dB) ↑ PSNR (dB) ↑ MAE ↓ RMSE ↓
Noisy snapshots 4.357 9.995 60.333 80.839
Naive average 6.367 12.005 51.417 64.019
MP-PCA "median" σ 11.097 16.734 27.226 37.815
MP-PCA "min_eigen" σ 11.350 16.988 25.916 36.818
MP-PCA "mp_fit" σ 11.399 17.037 25.686 36.632
MP-PCA true σ 10.529 16.167 30.566 40.232

The figure below shows an MRI brain slice corrupted by Rician noise (100 acquisitions, σ = 35) denoised with each available estimator. From left to right: noisy sample, naive average of all acquisitions, MP-PCA with "median" σ, "min_eigen" σ, "mp_fit" σ, and the true σ.

MRI denoising with MP-PCA


License

The package is licensed under the BSD 3-Clause License. A copy of the license can be found along with the code.


Main references

  • James Albrecht, Cy Chan, and Alan Edelman, "Sturm Sequences and Random Eigenvalue Distributions", Foundations of Computational Mathematics, vol. 9 iss. 4 (2009), pp 461-483. [pdf] [doi]

  • Ioana Dumitriu and Alan Edelman, "Matrix Models for Beta Ensembles", Journal of Mathematical Physics, vol. 43 no. 11 (2002), pp. 5830-5547 arXiv:math-ph/0206043

  • Rowan Killip and Rostyslav Kozhan, "Matrix Models and Eigenvalue Statistics for Truncations of Classical Ensembles of Random Unitary Matrices", Communications in Mathematical Physics, vol. 349 (2017) pp. 991-1027. arxiv.org/pdf/1501.05160.pdf

  • Olivier Ledoit and Michael Wolf, "Analytical Nonlinear Shrinkage of Large-dimensional Covariance Matrices", Annals of Statistics, vol. 48, no. 5 (2020) pp. 3043–3065. [pdf]

  • Olivier Ledoit and Michael Wolf, "A Well-conditioned Estimator for Large-dimensional Covariance Matrices", Journal of Multivariate Analysis, vol. 88 (2004) pp. 365–411. [pdf]


Attribution

This project has been developed by Alejandro Santorum Varela (2021) as part of the final degree project in Computer Science (Autonomous University of Madrid), supervised by Alberto Suárez González.

  • It has been revised and improved in 2025 to support Python versions from 3.8 to 3.12.
  • It has been further extended in 2026 to incorporate RMT-based image denoising utilities, with applications to medical imaging.

If you happen to use scikit-rmt in your work or research, please cite its GitHub repository:

A. Santorum, "scikit-rmt", https://github.com/AlejandroSantorum/scikit-rmt, 2021. GitHub repository.

The corresponding BibTex entry is

@misc{Santorum2021,
  author = {A. Santorum},
  title = {scikit-rmt},
  year = {2021},
  howpublished = {\url{https://github.com/AlejandroSantorum/scikit-rmt}},
  note = {GitHub repository}
}

Project details


Download files

Download the file for your platform. If you're not sure which to choose, learn more about installing packages.

Source Distribution

scikit_rmt-1.3.0.tar.gz (94.5 kB view details)

Uploaded Source

File details

Details for the file scikit_rmt-1.3.0.tar.gz.

File metadata

  • Download URL: scikit_rmt-1.3.0.tar.gz
  • Upload date:
  • Size: 94.5 kB
  • Tags: Source
  • Uploaded using Trusted Publishing? No
  • Uploaded via: twine/5.0.0 CPython/3.9.0

File hashes

Hashes for scikit_rmt-1.3.0.tar.gz
Algorithm Hash digest
SHA256 0047b7bc82c0af5592df707b73471a65d9ffcd50f777a2bb51149bcc7f6a768c
MD5 5a62c46eedd5dbdcbefa158de277285f
BLAKE2b-256 f1dfd5fed794eb1a68caf66c7629b15733343bb3cb5ea39ea16d3ba3921695a5

See more details on using hashes here.

Supported by

AWS Cloud computing and Security Sponsor Datadog Monitoring Depot Continuous Integration Fastly CDN Google Download Analytics Pingdom Monitoring Sentry Error logging StatusPage Status page