Shift Nth row N steps in NumPy / PyTorch / TensorFlow / JAX
Project description
Shift Nth Row N Steps
Documentation: https://shift-nth-row-n-steps.readthedocs.io
Source Code: https://github.com/34j/shift-nth-row-n-steps
Shift Nth row N steps in NumPy / PyTorch / TensorFlow / JAX
Installation
Install this via pip (or your favourite package manager):
pip install shift-nth-row-n-steps
Usage
from shift_nth_row_n_steps import shift_nth_row_n_steps
a = np.array([[1, 2, 3], [4, 5, 6], [7, 8, 9]])
shifted = shift_nth_row_n_steps(a)
print(shifted)
[[1 2 3]
[0 4 5]
[0 0 7]]
shift_nth_row_n_steps is array API compatible, which means it works with NumPy, PyTorch, JAX, and other libraries that implement the array API standard.
Benchmark
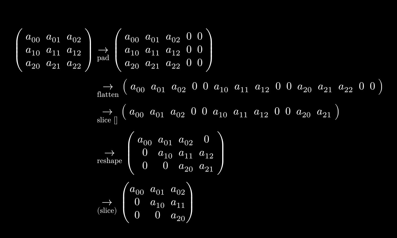
Algorithm
Contributors ✨
Thanks goes to these wonderful people (emoji key):
This project follows the all-contributors specification. Contributions of any kind welcome!
Credits
This package was created with Copier and the browniebroke/pypackage-template project template.
Project details
Release history Release notifications | RSS feed
Download files
Download the file for your platform. If you're not sure which to choose, learn more about installing packages.
Source Distribution
Built Distribution
Filter files by name, interpreter, ABI, and platform.
If you're not sure about the file name format, learn more about wheel file names.
Copy a direct link to the current filters
File details
Details for the file shift_nth_row_n_steps-1.0.0.tar.gz.
File metadata
- Download URL: shift_nth_row_n_steps-1.0.0.tar.gz
- Upload date:
- Size: 12.7 kB
- Tags: Source
- Uploaded using Trusted Publishing? Yes
- Uploaded via: twine/6.1.0 CPython/3.12.9
File hashes
| Algorithm | Hash digest | |
|---|---|---|
| SHA256 |
16f2a7ea004eefe66775e037ef1cda51ecee359b67349d7c9ff67b9832fbe62a
|
|
| MD5 |
818608d624563327a9900377514e973e
|
|
| BLAKE2b-256 |
42b0d0d8fc306b044408413a2a1e192c5d557f3352cc16bf4df8e7274528d64c
|
Provenance
The following attestation bundles were made for shift_nth_row_n_steps-1.0.0.tar.gz:
Publisher:
ci.yml on 34j/shift-nth-row-n-steps
-
Statement:
-
Statement type:
https://in-toto.io/Statement/v1 -
Predicate type:
https://docs.pypi.org/attestations/publish/v1 -
Subject name:
shift_nth_row_n_steps-1.0.0.tar.gz -
Subject digest:
16f2a7ea004eefe66775e037ef1cda51ecee359b67349d7c9ff67b9832fbe62a - Sigstore transparency entry: 256280028
- Sigstore integration time:
-
Permalink:
34j/shift-nth-row-n-steps@6da7087de7673185cf12b5745ad860831161b55e -
Branch / Tag:
refs/heads/main - Owner: https://github.com/34j
-
Access:
public
-
Token Issuer:
https://token.actions.githubusercontent.com -
Runner Environment:
github-hosted -
Publication workflow:
ci.yml@6da7087de7673185cf12b5745ad860831161b55e -
Trigger Event:
push
-
Statement type:
File details
Details for the file shift_nth_row_n_steps-1.0.0-py3-none-any.whl.
File metadata
- Download URL: shift_nth_row_n_steps-1.0.0-py3-none-any.whl
- Upload date:
- Size: 9.6 kB
- Tags: Python 3
- Uploaded using Trusted Publishing? Yes
- Uploaded via: twine/6.1.0 CPython/3.12.9
File hashes
| Algorithm | Hash digest | |
|---|---|---|
| SHA256 |
9db27ad13808ba11ab1df6b9037d36b87d9ccad657b7f98f6cc595484239f1f0
|
|
| MD5 |
0fd1013d16b809ae53617c27b583af6d
|
|
| BLAKE2b-256 |
f36fe529f70216bc4d6ecba9b679f485b67653153d61f32cfac2275dea0aee99
|
Provenance
The following attestation bundles were made for shift_nth_row_n_steps-1.0.0-py3-none-any.whl:
Publisher:
ci.yml on 34j/shift-nth-row-n-steps
-
Statement:
-
Statement type:
https://in-toto.io/Statement/v1 -
Predicate type:
https://docs.pypi.org/attestations/publish/v1 -
Subject name:
shift_nth_row_n_steps-1.0.0-py3-none-any.whl -
Subject digest:
9db27ad13808ba11ab1df6b9037d36b87d9ccad657b7f98f6cc595484239f1f0 - Sigstore transparency entry: 256280058
- Sigstore integration time:
-
Permalink:
34j/shift-nth-row-n-steps@6da7087de7673185cf12b5745ad860831161b55e -
Branch / Tag:
refs/heads/main - Owner: https://github.com/34j
-
Access:
public
-
Token Issuer:
https://token.actions.githubusercontent.com -
Runner Environment:
github-hosted -
Publication workflow:
ci.yml@6da7087de7673185cf12b5745ad860831161b55e -
Trigger Event:
push
-
Statement type: