Skip to main content

GraphBin: a synthetic graph generator

Project description

TNO PET Lab - Synthetic Data Generation (SDG) - Graph - Generation - GraphBin

The TNO PET Lab consists of generic software components, procedures, and functionalities developed and maintained on a regular basis to facilitate and aid in the development of PET solutions. The lab is a cross-project initiative allowing us to integrate and reuse previously developed PET functionalities to boost the development of new protocols and solutions.

The package tno.sdg.graph.gen.graphbin is part of the TNO Python Toolbox.

The research activities that led to this protocol and implementation were supported by TNO's Appl.AI programme.

Limitations in (end-)use: the content of this software package may solely be used for applications that comply with international export control laws.
This implementation of software has not been audited. Use at your own risk.

Documentation

Documentation of the tno.sdg.graph.gen.graphbin package can be found here.

Install

Easily install the tno.sdg.graph.gen.graphbin package using pip:

$ python -m pip install tno.sdg.graph.gen.graphbin

The package has two groups of optional dependencies:

  • tests: Required packages for running the tests included in this package
  • scripts: The packages required to run the example script

Usage

This repository implements part of the GraphBin algorithm. Currently, the edge generation step of GraphBin is implemented, but not the node generation. It is only supported to generate synthetic graphs "from scratch", i.e. without a source graph from which characteristics are learned. Instead, the current implementation provides the method GraphBin.from_scratch, which generates a new random graph based on the provided parameters.

The parameters are as follows:

  • n_samples: The number of nodes to generate
  • param_feature: Parameter governing exponential distribution from which the value of the "feature" is sampled (i.e. transaction amount)
  • param_degree: Parameter governing the powerlaw distribution from which the degrees of the nodes are sampled
  • cor: Specify the correlation between param_feature and param_degree
  • param_edges: Roughly related to the strength of the binning on the edge probabilities

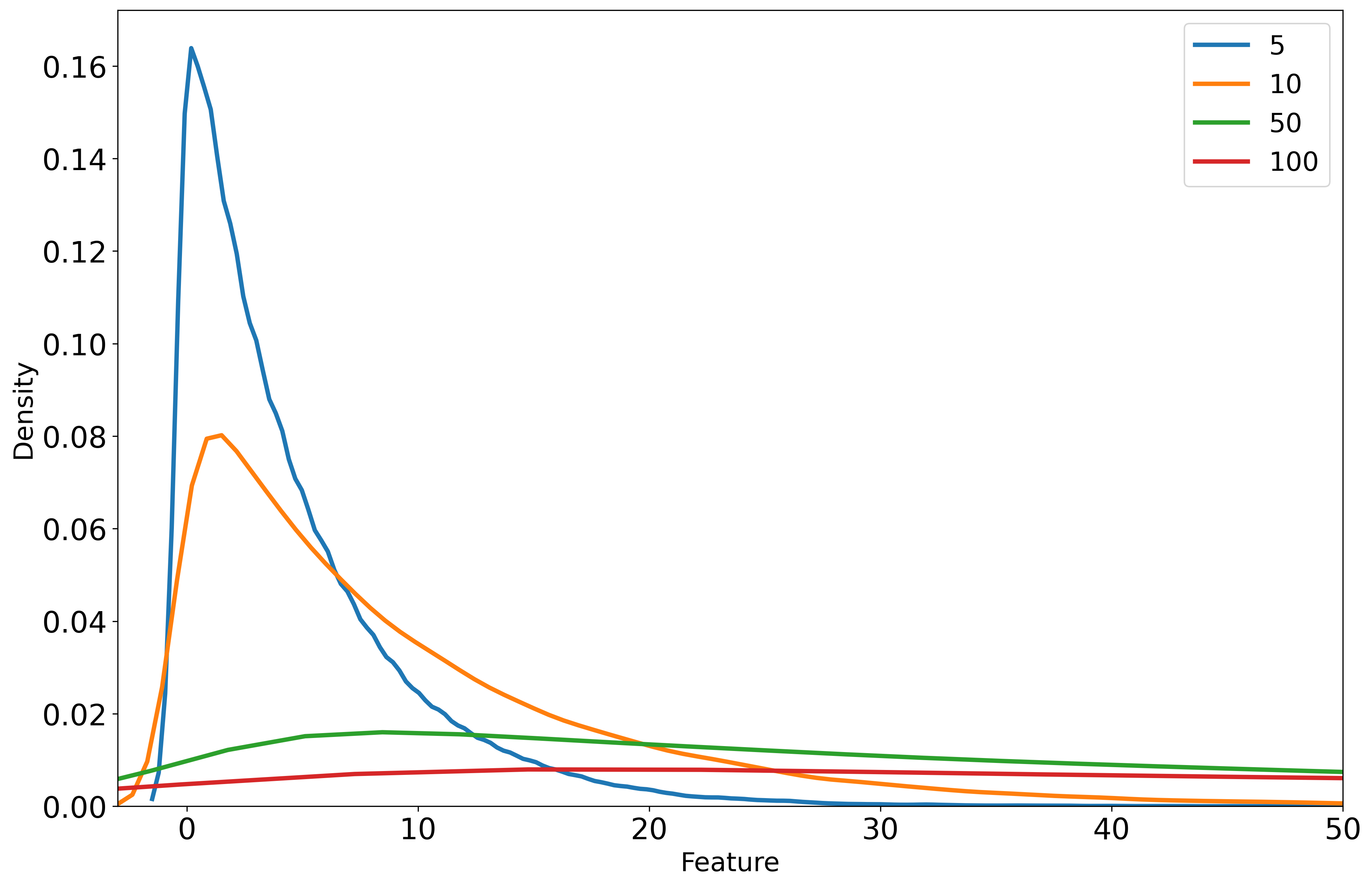
Below, examples of feature and degree distributions are shown for different values of param_feature and param_degree.

Graph depicting the exponential distribution for various parameters used to sample feature values Graph depicting the powerlaw distribution for various parameters used to sample the degree amounts

Example Script

Be sure to install the scripts optional dependency group (see installation instructions).

import matplotlib.pyplot as plt
import networkx as nx

from tno.sdg.graph.gen.graphbin import GraphBin

N = 200

graphbin = GraphBin.from_scratch(
    n_samples=N,
    param_feature=2000,
    param_degree=19,
    cor=0.3,
    param_edges=4000,
    random_state=80,
)
graph = graphbin.generate()

Plot the node degree & node feature.

plt.figure(figsize=(15, 10), dpi=300)
plt.scatter(graph.degree, graph.feature, s=150, alpha=0.65)
plt.xlabel("Node degree")
plt.ylabel("Node feature")
plt.title("Node degree and node feature (node-level feature), for " + str(N) + " nodes")
plt.show()

Graph showing the distribution of the degree of the nodes and the feature of the nodes

And the graph:

plt.figure(figsize=(15, 10), dpi=300)
G = nx.Graph()
G.add_nodes_from(graph.index)
G.add_edges_from(tuple(map(tuple, graph.edges)))

pos = nx.spring_layout(G, k=100 / N)
nx.draw(G, node_size=350, node_color=graph.feature, pos=pos)
plt.title("Synthetic graph with nodes colored by feature value")
plt.show()

Graph showing the synthetic graph resulting from the example script

Project details


Download files

Download the file for your platform. If you're not sure which to choose, learn more about installing packages.

Source Distribution

tno.sdg.graph.gen.graphbin-0.1.1.tar.gz (2.9 MB view details)

Uploaded Source

Built Distribution

If you're not sure about the file name format, learn more about wheel file names.

tno.sdg.graph.gen.graphbin-0.1.1-py3-none-any.whl (17.1 kB view details)

Uploaded Python 3

File details

Details for the file tno.sdg.graph.gen.graphbin-0.1.1.tar.gz.

File metadata

File hashes

Hashes for tno.sdg.graph.gen.graphbin-0.1.1.tar.gz
Algorithm Hash digest
SHA256 aa39c169f75ba6262c5f855b8abc5b4412f2441972151bb1b2e1a85bdcd88738
MD5 ab37829dd80ac03b01af9961257990c7
BLAKE2b-256 5d980ee8a9457eca62d2c91225f7b05cc84f2115775f433d8625a879af57536a

See more details on using hashes here.

File details

Details for the file tno.sdg.graph.gen.graphbin-0.1.1-py3-none-any.whl.

File metadata

File hashes

Hashes for tno.sdg.graph.gen.graphbin-0.1.1-py3-none-any.whl
Algorithm Hash digest
SHA256 3259b0e9093036862fe0955220039fc52122276268246949e535397c0cc3bb1c
MD5 8dfd380e6348d2d83d58779b6d5c49bf
BLAKE2b-256 fc62c759889992ec68e67a0f8a1d7fa9ea52b50b578f47777c17f5b9f04998a2

See more details on using hashes here.

Supported by

AWS Cloud computing and Security Sponsor Datadog Monitoring Depot Continuous Integration Fastly CDN Google Download Analytics Pingdom Monitoring Sentry Error logging StatusPage Status page