Skip to main content

A graph visualization tool

Project description

Treevizer

Visualize node data structures using Graphviz.

How it works

Treevizer iterates over your datastructure to generate a DOT file and runs Graphviz turn it into an image. The datastructure needs to be built using Nodes.

It also support recursive functions.

Examples

Linked list

Image of linked list

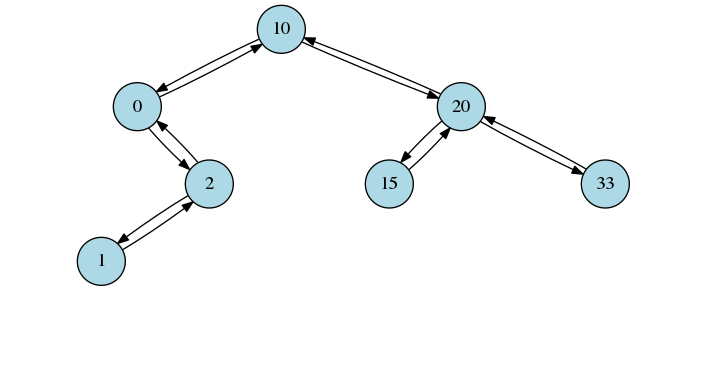
Balanced binary tree

Image of Balanced binary tree

Trie

Image of Trie

Recursive Fibonacci

Image of recursive Fibonacci function

Prerequisites

You need to install Graphviz and make sure it is in $PATH.

Cygwin

Graphviz and Pillow need special installation on Cygwin.

Graphviz

Don't install Graphviz in Cygwin, do a windows installation. Otherwise there will be a problem with paths.

Pillow

Pillow is optional, it is only used to create GIFs. If you don't want to create GIFs you don't need to install it.

Don't install Pillow with pip, instead do it with a Cygwin package. Install the Cygwin package python3X-imaging, replace X with your Python version.

Installing

pip install treevizer

Usage

The following structures are supported:

Linked list (ll)

Structure type is called "ll". The config key is called "LinkedList".

Require a Node class with the attributes that fulfill the following class diagram.

Class diagram of Node class for linked list.

Balanced binary tree (bbt)

Structure type is called "bbt". The config key is called "BalancedBinaryTree".

Require a Node class with the attributes that fulfill the following class diagram.

Class diagram of Node class for Balance binary tree.

Trie (trie)

Structure type is called "trie". The config key is called "Trie".

Require a Node class with the attributes that fulfill the following class diagram.

Class diagram of Node class for Trie.

The stop attribute marks if node marks a word (True) or not (False).

Recursion

Decorate your recursive function with recursion_viz. It is possible to decorate multiple functions. Each function is identified by the name of your function when creating the PNG or GIF.

Example

import treevizer

@treevizer.recursion_viz
def a_rec_func():
    a_rec_func()


@treevizer.recursion_viz
def another_rec_func():
    another_rec_func()

a_rec_func()
another_rec_func()

treevizer.recursion_to_png("a_rec_func", dot_path="recursion.dot", png_path="recursion.png")
treevizer.recursion_to_png("another_rec_func", dot_path="rec2.dot", png_path="rec2.png")

To configure the dot language, use "Recursion" as key in the json.

Functions

Structure to DOT file

import treevizer

treevizer.to_dot(root, structure_type="bbt", dot_path="tree.dot")
    """
    Generate DOT file from node structure.

    Parameters
    ----------
    root : Node
        Root node for datastructure
    structure_type : str
        Name of the type of datastructure (default is "bbt")
    dot_path : str
        Path to generated DOT file (default is tree.dot)
    """

Structure to PNG

This also creates a DOT file.

import treevizer

treevizer.to_png(root, structure_type="bbt", dot_path="tree.dot", png_path="tree.png")
    """
    Generate DOT file from node structure and use Graphviz to create image.

    Parameters
    ----------
    root : Node
        Root node for datastructure
    structure_type : str
        Name of the type of datastructure (default is "bbt")
    dot_path : str
        Path to generated DOT file (default is tree.dot)
    png_path : str
        Path to generated png file (default is tree.png)
    """

Recursion to PNG

This also creates a DOT file.

import treevizer

@treevizer.recursion_viz
def a_recusive_function():
    a_recusive_function()


treevizer.recursion_to_png(function_name, dot_path="recursion.dot", png_path="recursion.png")
    """
    Generate DOT file of recursive function calls and use Graphviz to create image.

    Parameters
    ----------
    function_name : str
        Name of your decorated function.
    dot_path : str
        Path to generated DOT file (default is recursion.dot)
    png_path : str
        Path to generated png file (default is recursion.png)
    """

Recursion to GIF

import treevizer

@treevizer.recursion_viz
def a_recusive_function():
    a_recusive_function()


treevizer.recursion_to_gif(function_name, gif_path="recursion.dot", duration=800, loop=0)
    """
    Generate PNG files of recursive function calls and use Pillow to create GIF.

    Parameters
    ----------
    function_name : str
        Name of your decorated function.
    gif_path : str
        Path to generated GIF file (default is recursion.gif)
    duration : int
        duration, in miliseconds, of how long each image will be displayed in the GIF (default is 800)
    loop : int
        how many times the GIF should loop after initial loop. 0 to loop infinitely (default is 0)
    """

DOT file to PNG

import treevizer

treevizer.dot_to_png(dot_path="tree.dot", png_path="tree.png")
    """
    Use Graphviz to create image from a DOT file.

    Parameters
    ----------
    dot_path : str
        Path to your DOT file (default is tree.dot)
    png_path : str
        Path to generated png file (default is tree.png)
    """

Configure

Create .dot.json in root folder to change DOT configuration. Available options can be found in Graphviz documentation.

For example to change color of Nodes in image for balanced binary tree use the following.

# .dot.json
{
    "BalancedBinaryTree": {
        "node": {
            "fillcolor": "green"
        }
    }
}

To change size and shape of nodes and color of edges in Linked list use the following.

# .dot.json
{
    "LinkedList": {
        "node": {
            "shape": "square",
            "width": 1.5
        },
        "edge": {
            "color": "red"
        }
    }
}

To change color of the font on edge labels for recursion.

{
    "Recursion": {
        "edge": {
            "fontcolor": "black"
        }
    }
}

Known Errors/Warnings

Known Errors and Warnings

Links

License

This project is licensed under the MIT License - see the LICENSE.md file for details

Project details


Download files

Download the file for your platform. If you're not sure which to choose, learn more about installing packages.

Source Distributions

No source distribution files available for this release.See tutorial on generating distribution archives.

Built Distribution

If you're not sure about the file name format, learn more about wheel file names.

treevizer-0.2.5-py3-none-any.whl (16.2 kB view details)

Uploaded Python 3

File details

Details for the file treevizer-0.2.5-py3-none-any.whl.

File metadata

  • Download URL: treevizer-0.2.5-py3-none-any.whl
  • Upload date:
  • Size: 16.2 kB
  • Tags: Python 3
  • Uploaded using Trusted Publishing? No
  • Uploaded via: twine/4.0.2 CPython/3.8.10

File hashes

Hashes for treevizer-0.2.5-py3-none-any.whl
Algorithm Hash digest
SHA256 9c48b5e189bc3f163a9115bcfc6d72e033e07f2bfaf928f0be62949027057f79
MD5 acb90cd717f8c06067d885e574c2934d
BLAKE2b-256 f99989fc298d87e778d8fa34fb3a64b3d9c7355daa93ba0358ff3f2408fa35c1

See more details on using hashes here.

Supported by

AWS Cloud computing and Security Sponsor Datadog Monitoring Depot Continuous Integration Fastly CDN Google Download Analytics Pingdom Monitoring Sentry Error logging StatusPage Status page