Skip to main content

This GUI performs fluorescence lifetime decay analysis at cellular level.

Project description

Introduction

This Python code GUI aims to fit the fluorescence lifetime decay images and calculate the lifetime metrics of each cell. FLIMFit was written by Linghao Hu. To learn about the principles of FLIMfit, please refer to the book [W. Becker, The bh TCSPC Handbook]. Please see the install instructions below, and also check out the details for more information in github.

GUI:

image

Installation:

pip install FLIM-fit

System requirements:

Windows

Dependencies:

FLIMfit relies on the following excellent packages (which are automatically installed with conda/pip if missing): • customtkinter • numpy • pandas • scikit-learn • CTkMessagebox • scipy • sdtfile

Run Flimfit locally:

The quickest way to start is to open the GUI from a command line terminal. You might need to open an anaconda prompt if you did not add anaconda to the path: python -m flimfit

Step-by-step demo

  1. Download this folder of Test images and unzip it. These are a subset of the test images.
  2. Start the GUI with Python -m Flimfit.

Image Read:

  1. Open a temporal point spread function (TPSF) image (X x Y x T, 256 x 256 x 256 (12.5ns)) from the folder with the OPEN TPSF button. The format can be .asc file (generated from SPCImage software (Becker & Hickl) -> Export -> Decay Traces) or .sdt file (generated from SPCM64(Becker & Hickl)).
  2. Read the instrument response function (IRF) with the READ IRF button. The instrument response function file should be .txt file, with 256 rows, and each row represents the photon number in the corresponding time point, see the example test IRF image. The IRF file can be generated by copying an IRF function from SPCImage software, and pasting into a notepad.
  3. Optional: Click the IMAGE RESTORATION to enhance the TPSF image if the photon number is few for decay fitting. The image restoration is achieved by a 3D generative adversarial network trained with simulated images. This idea comes from the paper [Chen, YI., Chang, YJ., Liao, SC. et al. Commun Biol 5, 18 (2022). https://doi.org/10.1038/s42003-021-02938-w], and the details of the simulated images and the GAN model can be obtained from link.

Fit FLIM:

  1. Define the SPATIAL BIN SIZE and BIN METHOD, and click the SPATIAL BIN button to do spatial binning. Note: the cell binning method option can only be selected when already inputting a cell mask. Binning is performed by combining the decay data from a defined binning area and assigning the net decay curve to the central pixel. ‘Bin size’ defines the number of pixels including the current pixel position. ‘Bin method’ defines the shape of the bin area.
  2. Define the FITTING COMPONENT, THRESHOLD, and FITTING METHOD and click the FLIM DECAY CURVE FIT button to achieve fluorescence lifetime analysis of the TPSF images. The deconvolution with the IRF and exponential fitting will be applied to each pixel.

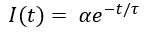
single-component decay function:

image

Bi-component decay function:

image

  1. Pixels with the photon number at the peak lower than the threshold are ignored. Three fitting methods: LSQ: Least-square. The outputted α1(%), and α2(%) are calculated by normalizing with the sum of α1 and α2 LSQN: Normalization of the actual decay curve to 0 to 1 before implementing least-square curve fitting, so it outputs α1(%), and α2(%) directly. MLE: Maximum likelihood estimation. MLE calculates the probability that a particular value of n appears in a particular time channel with the Poisson distribution.

image

For the photon number at each time point, the k is the fitted photon number, and λ is the actual photon number. Then it optimizes model parameters until the sum of probabilities is at maximum. Finally, the outputted α1(%), and α2(%) are calculated by normalizing with the sum of α1 and α2.

  1. Once fitting is done, Choose the option menu to visualize different FLIM images. Click the SAVE LIFETIME IMAGES to save all the FLIM output matrices as .tif images. Cell Level Analysis (Only applicable for two-component decay fitting)
  2. Input a cell mask with the READ CELL MASK Button.
  3. Calculate the average fluorescence lifetime values within cellular regions by clicking APPLY MASK.
  4. Choose an Excel file to save the calculated lifetime values of each cell (SELECT EXCEL FILE).
  5. Input the SHEET NAME you want to write the values and click the save values button. (The values will be saved in the excel-sheet, in which each row represents each number, and each column for different lifetime metrics)

Project details


Download files

Download the file for your platform. If you're not sure which to choose, learn more about installing packages.

Source Distribution

FLIM_fit-1.6.2.tar.gz (16.5 MB view details)

Uploaded Source

Built Distribution

If you're not sure about the file name format, learn more about wheel file names.

FLIM_fit-1.6.2-py3-none-any.whl (16.5 MB view details)

Uploaded Python 3

File details

Details for the file FLIM_fit-1.6.2.tar.gz.

File metadata

  • Download URL: FLIM_fit-1.6.2.tar.gz
  • Upload date:
  • Size: 16.5 MB
  • Tags: Source
  • Uploaded using Trusted Publishing? No
  • Uploaded via: twine/4.0.2 CPython/3.8.5

File hashes

Hashes for FLIM_fit-1.6.2.tar.gz
Algorithm Hash digest
SHA256 51f2ecea6d4ec8f4482ccf2d434a948a771467ee9155fe29e5c08f0bfbdb4927
MD5 5216ca8afd581cced69342158dcebdd2
BLAKE2b-256 f81b043076febd7c829c33b169c8632f726eaaefe1427f8b5589f5d71e69729f

See more details on using hashes here.

File details

Details for the file FLIM_fit-1.6.2-py3-none-any.whl.

File metadata

  • Download URL: FLIM_fit-1.6.2-py3-none-any.whl
  • Upload date:
  • Size: 16.5 MB
  • Tags: Python 3
  • Uploaded using Trusted Publishing? No
  • Uploaded via: twine/4.0.2 CPython/3.8.5

File hashes

Hashes for FLIM_fit-1.6.2-py3-none-any.whl
Algorithm Hash digest
SHA256 eee9bb85160279b64b41e76e8b7b59f708094c08f03f76d14902cf2f61ccc758
MD5 eae81f96e547b5f343365191089be5ec
BLAKE2b-256 ff77f4c29399eb2aeadacba243edf33ded2dde30c49ea80b9152c0e3160ccc74

See more details on using hashes here.

Supported by

AWS Cloud computing and Security Sponsor Datadog Monitoring Depot Continuous Integration Fastly CDN Google Download Analytics Pingdom Monitoring Sentry Error logging StatusPage Status page