Skip to main content

Package for building co-accessibility networks from ATAC-seq data.

Project description

Circe logo


CIRCE: Cis-regulatory interactions between chromatin regions

Unit_Tests codecov PyPI version Downloads

Description

This repo contains a python package for inferring co-accessibility networks from single-cell ATAC-seq data, using skggm for the graphical lasso and scanpy for data processing.

It is based on the pipeline and hypotheses presented in the manuscript "Cicero Predicts cis-Regulatory DNA Interactions from Single-Cell Chromatin Accessibility Data" by Pliner et al. (2018). This R package Cicero is available here.

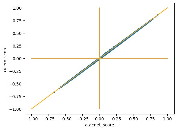
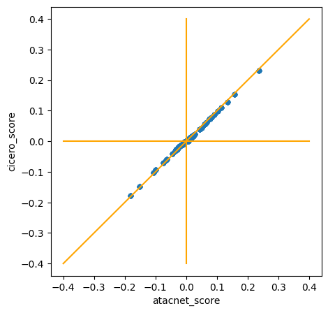
Results may slitghly vary between both packages, notably due to the different implementations of graphical lasso.
Currently, scores are very close when applied to the same metacells, computed from Cicero's methodology. (cf comparison plots below). It should run significantly faster than Cicero (e.g.: running time of 5 sec instead of 17 min for the dataset 2).

If you have any suggestion, don't hesitate ! This package is still a work in progress :)

Installation

The package can be installed using pip:

pip install atacnet

and from github

pip install "git+https://github.com/r-trimbour/atacnet.git"

Minimal example

import anndata as ad
import atacnet as an

atac = ad.read_h5ad('atac_data.h5ad')
an.add_region_infos(atac)
an.compute_atac_network(atac)
an.extract_atac_links(atac)

Comparison to Cicero R package


On the same metacells obtained from Cicero code.

All tests can be found in the AtacNet benchmark repo

Toy dataset 1 (fake data):

  • Pearson correlation coefficient: 0.999126
  • Spearman correlation coefficient: 0.99838

Real dataset 2 (subsample of neurips PBMC)

  • Pearson correlation coefficient: 0.999958
  • Spearman correlation coefficient: 0.999911

Performance on real dataset 2:

  • Runtime: ~100x faster
  • Memory usage: ~5x less

Coming:

  • Calculate metacells !
  • Add stats on similarity on large datasets.
  • Add stats on runtime, memory usage.
  • This package can be run on multiple cores. Currently working to speed up the mutlithreding use.
  • Fix seed for reproducibility.

Usage

It is currently developped to work with AnnData objects. Check Example1.ipynb for a simple usage example.

Project details


Download files

Download the file for your platform. If you're not sure which to choose, learn more about installing packages.

Source Distribution

atacnet-0.1.8.tar.gz (103.3 kB view details)

Uploaded Source

Built Distribution

If you're not sure about the file name format, learn more about wheel file names.

atacnet-0.1.8-cp310-cp310-manylinux_2_35_x86_64.whl (239.7 kB view details)

Uploaded CPython 3.10manylinux: glibc 2.35+ x86-64

File details

Details for the file atacnet-0.1.8.tar.gz.

File metadata

  • Download URL: atacnet-0.1.8.tar.gz
  • Upload date:
  • Size: 103.3 kB
  • Tags: Source
  • Uploaded using Trusted Publishing? No
  • Uploaded via: poetry/1.4.2 CPython/3.10.9 Linux/6.5.0-41-generic

File hashes

Hashes for atacnet-0.1.8.tar.gz
Algorithm Hash digest
SHA256 b060da67a61f83e72bdd3bf5e257606e1936e0c3345d495787fa0c40e3b806d7
MD5 83757b19ba8f9cf82e8508283f03eeeb
BLAKE2b-256 b95c51a875e1a7d9387adeda41841048bf3e09477ec2799f0d7475473c9a30ed

See more details on using hashes here.

File details

Details for the file atacnet-0.1.8-cp310-cp310-manylinux_2_35_x86_64.whl.

File metadata

  • Download URL: atacnet-0.1.8-cp310-cp310-manylinux_2_35_x86_64.whl
  • Upload date:
  • Size: 239.7 kB
  • Tags: CPython 3.10, manylinux: glibc 2.35+ x86-64
  • Uploaded using Trusted Publishing? No
  • Uploaded via: poetry/1.4.2 CPython/3.10.9 Linux/6.5.0-41-generic

File hashes

Hashes for atacnet-0.1.8-cp310-cp310-manylinux_2_35_x86_64.whl
Algorithm Hash digest
SHA256 ee7edc6c46b3b10ab267fb868d70c26148620570fd7eb7a88c8213bee28d9170
MD5 6090e59437ad1378c9aeea1caacc0800
BLAKE2b-256 d16b6c3fe09130622101548034aa57629331d9500e40fc0e8d57ec2398c5a451

See more details on using hashes here.

Supported by

AWS Cloud computing and Security Sponsor Datadog Monitoring Depot Continuous Integration Fastly CDN Google Download Analytics Pingdom Monitoring Sentry Error logging StatusPage Status page