Skip to main content

Cellfinder output visualization

Project description

Cellfinder-visualize User Guide

About

cellfinder-visualize is a tool for post-cellfinder data visualisation and analysis. The core aims are to provide:

  • Publication quality visualisations of cellfinder experiments for multiple samples
  • Standardised publication quality plots of cell counts for different region sets
    • Easy toggling of regions of interest
    • Matching visualisations to quantifications
    • Lateralised views
    • Slice views
  • Statistical analysis (in progress)

cellfinder-visualize is a tool developed by Stephen Lenzi in the Margrie Lab, generously supported by the Sainsbury Wellcome Centre.

Installation

conda create -n cellfinder-visualize python=3.10

conda activate cellfinder-visualize

pip install cellfinder-visualize

Usage

Simply run from the commandline as follows

conda activate cellfinder-visualize

cellfinder_visualize

This will open a GUI for selecting parameters

experiment dir should be a directory containing cellfinder output directories. When selected, all subfolders in the selected directory will be displayed and available in the experiment group section in the GUI where they can be selected and assigned a group for running through the analysis.

experiment group sample directories shown under experiment group can be selected and assigned to groups for comparative analysis.

Set Group A when clicked, this button will assign all currently highlighted directories to a single experimental group (group A) for analysis.

Set Group B when clicked, this button will assign all currently highlighted directories to a single experimental group (group B) for analysis.

output dir should be a directory for saving any outputs for your sample

Save Settings when clicked, this button will save the current selected settings to a file called settings.pkl in the output directory that can be loaded again later.

config select a previously saved settings.pkl file to load previous settings into the GUI.

coronal slice start if you want to show only a coronal subsection this value is the start in microns

coronal slice end if you want to show only a coronal subsection this value is the end of that section in microns

root if checked the whole brain outline will be shown

show reference structures if checked, several brain regions will be added for reference only

filter cells by structure if checked, cells displayed will be restricted to the regions listed in region list

hemisphere whether to display and count cells in left/right/both hemispheres

slice root if checked, and a subregion is selected (e.g. only one hemisphere, or a coronal section) then all other unselected regions will not be visible

subsample factor show every nth cell of the number chosen

highlight subregion outlines will be drawn for subregions that contain the string in this box. i.e. if you wanted to highlight layer 5 in displayed regions, then 5 would achieve this.

region list each item in this list will be displayed and included in any analysis

colors color labels that each correspond to items in the region list.

reference region the region used to normalise cell counts to.

brainrender if checked, brainrender will run.

barplots if checked, barplots will be generated of the cell counts.

load additional obj files if any .obj files are present in the directory given then they will be rendered in the brainrender view.

camera pos position of the camera in brainrender.

camera viewup the camera "up" direction for brainrender.

camera clipping range the range of clipping the brainrender image.

shader style the shader option to be used in brainrender.

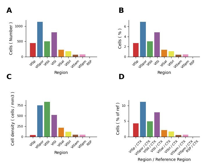
The end result should be bar plots per sample indicating the counts and percentages of cells in each region:

And also a pooled plot indicating the averages for all samples and the individual points:

A boxplot of each experimental group:

Together with a brainrender of the samples and target regions:

Any .obj files in the directory hierarchy will be automatically displayed e.g.:

Project details


Download files

Download the file for your platform. If you're not sure which to choose, learn more about installing packages.

Source Distribution

cellfinder-visualize-0.2.3.tar.gz (15.9 kB view details)

Uploaded Source

Built Distribution

If you're not sure about the file name format, learn more about wheel file names.

cellfinder_visualize-0.2.3-py3-none-any.whl (13.1 kB view details)

Uploaded Python 3

File details

Details for the file cellfinder-visualize-0.2.3.tar.gz.

File metadata

  • Download URL: cellfinder-visualize-0.2.3.tar.gz
  • Upload date:
  • Size: 15.9 kB
  • Tags: Source
  • Uploaded using Trusted Publishing? No
  • Uploaded via: twine/4.0.2 CPython/3.10.4

File hashes

Hashes for cellfinder-visualize-0.2.3.tar.gz
Algorithm Hash digest
SHA256 de44256cb9e9b6099dbd1835dda3953d88438a0a73e3e6303592ace9662f0802
MD5 835e64922300a193063ef6c628396d21
BLAKE2b-256 5b64b0fbc622e0418b394a427deb6c4167ee11fefb16f85028aa77e58bb26484

See more details on using hashes here.

File details

Details for the file cellfinder_visualize-0.2.3-py3-none-any.whl.

File metadata

File hashes

Hashes for cellfinder_visualize-0.2.3-py3-none-any.whl
Algorithm Hash digest
SHA256 c9c49f2b2eb7856d043567c79ce21433fc1ed748369aa1c608897b45be524658
MD5 d547eaa5591c8c99a8f0958ee69bbd90
BLAKE2b-256 00374c3c1c2f0e2412c2068260d752dbcd9c21f8b9eb41c5d32e7c7596a8c688

See more details on using hashes here.

Supported by

AWS Cloud computing and Security Sponsor Datadog Monitoring Depot Continuous Integration Fastly CDN Google Download Analytics Pingdom Monitoring Sentry Error logging StatusPage Status page