A high-performance, security-focused static analysis tool for Python, powered by Rust.
Project description
High-Performance Python/Rust Graph-Based SAST Framework
PySpector is a State-of-the-Art Static Analysis Security Testing (SAST) framework, built in Rust for next-gen performances, made for modern Python projects and large codebases. Unlike traditional linters, PySpector utilizes a Flow-Sensitive, Inter-Procedural Taint Engine to track untrusted data across complex function boundaries and control flow structures.
By compiling the core analysis engine to a native binary, PySpector avoids the performance limitations of traditional Python-only tools. This makes it well-suited for CI/CD pipelines and local development environments where speed and scalability matter.
PySpector is designed to be both comprehensive and intuitive, offering a multi-layered analysis approach that goes beyond simple pattern matching to understand the structure and data flow of your Python application.
Table of Contents
- Quick Demo
- Getting Started
- Key Features
- Core Engine Architecture
- How It Works
- Performance Benchmarks
- Usage
- Plugin System
- Triaging and Baselining
- Automation and Integration
- SARIF Output and Security Tool Integration
Quick Demo
https://github.com/user-attachments/assets/0fe03961-0b62-4964-83ba-849f2357efba
Getting Started
Prerequisites
- Python: Python 3.9 – 3.14 supported (Python 3.9 or newer, up to 3.14).
- Rust: The Rust compiler (
rustc) and Cargo package manager are required. You can easily install the Rust toolchain via rustup and verify your installation by runningcargo --version.
Installation
It is highly recommended to install PySpector in a dedicated Python 3.14 venv.
Create a Virtual Environment:
-
Linux (Bash):
# Download Python 3.14 python3.14 -m venv venv source venv/bin/activate
-
Windows (PowerShell):
# Download Python 3.14 from the Microsoft Store and run: python3.14 -m venv venv .\venv\Scripts\Activate.ps1 # or, depending on the Python 3.14 installation source: .\venv\bin\Activate.ps1
With PySpector now officially on PyPI🎉, installation is as simple as running:
pip install pyspector
Key Features
-
Flow-Sensitive Analysis: Utilizes a Control Flow Graph (CFG) to track variable states sequentially, accurately distinguishing between safe and vulnerable code paths.
-
Inter-Procedural Taint Tracking: Propagates untrusted data across function boundaries using global fixed-point iteration and function summaries.
-
Context-Aware Summaries: Sophisticated mapping of which function parameters flow to return values, allowing for high-precision tracking through complex utility functions.
-
Multi-Engine Hybrid Scanning:
-
Regex Engine: High-speed scanning for secrets, hardcoded credentials, and configuration errors.
-
AST Engine: Deep structural pattern matching to find Python-specific anti-patterns.
-
Graph Engine: Advanced CFG and Call-Graph-based data flow analysis for complex vulnerability chains.
-
-
Fastest Market Performances: Core analysis engine implemented in Rust with
Rayonfor multi-threaded parallelization (allowing PySpector to scan 71% faster than Bandit, and 16.6x faster than Semgrep). -
AI-Agent Security: Specialized rulesets designed to identify prompt injection, insecure tool use, and data leakage in LLM-integrated Python applications.
Core Engine Architecture
PySpector v0.1.5 represents a shift from partially-static pattern matching, to a full graph-based analysis engine:
- AST Parsing: Python source is converted into a structured JSON AST, for semantic analysis.
- Call Graph Construction: PySpector builds a project-wide map of function definitions, and call sites to enable cross-file analysis.
- CFG Generation: Each function is decomposed into a Control Flow Graph (CFG), allowing the engine to understand the order of operations and conditional Python logic.
- Fixed-Point Taint Propagation: Using a Worklist Algorithm, the engine propagates "taint" from defined Sources to Sinks, while respecting Sanitizers that clean the data along the way.
How It Works
PySpector's hybrid architecture is key to its performance and effectiveness.
-
Python CLI Orchestration: The process begins with the Python-based CLI. It handles command-line arguments, loads the configuration and rules, and prepares the target files for analysis. For each Python file, it uses the native ast module to generate an Abstract Syntax Tree, which is then serialized to JSON.
-
Invocation of the Rust Core: The serialized ASTs, along with the ruleset and configuration, are passed to the compiled Rust core. The handoff from Python to Rust is managed by the pyo3 library.
-
Parallel Analysis in Rust: The Rust engine takes over and performs the heavy lifting. It leverages the rayon crate to execute file scans and analysis in parallel, maximizing the use of available CPU cores. It builds a complete call graph of the application to understand inter-file function calls, which is essential for the taint analysis module.
-
Results and Reporting: Once the analysis is complete, the Rust core returns a structured list of findings to the Python CLI. The Python wrapper then handles the final steps of filtering the results based on the severity threshold and the baseline file, and generating the report in the user-specified format.
This architecture combines the best of both worlds: a flexible, user-friendly interface in Python and a high-performance, memory-safe analysis engine in Rust :)
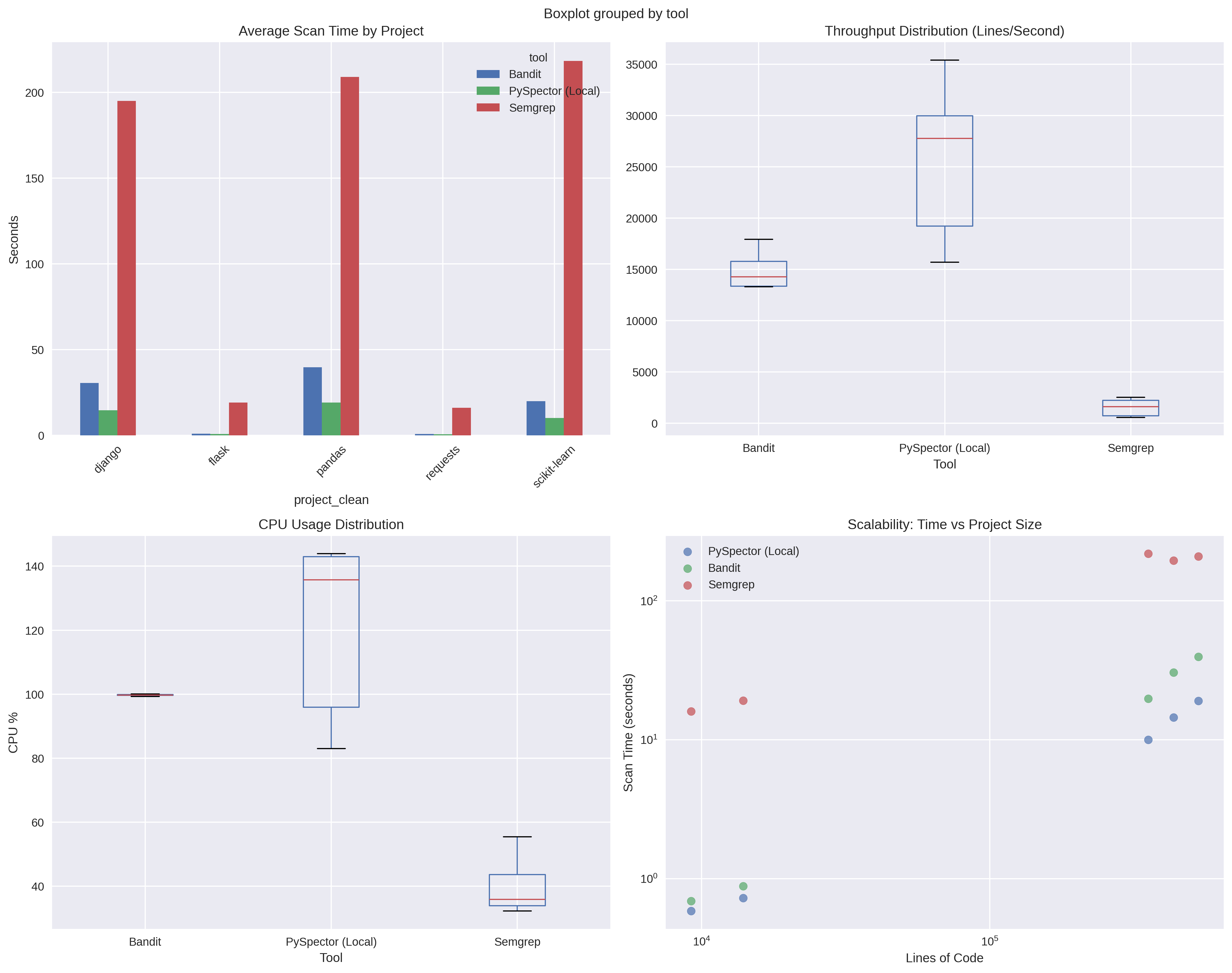
Performance Benchmarks
Performance benchmarks demonstrate PySpector's competitive advantages in SAST scanning speed while maintaining comprehensive security analysis.
Performance benchmarks were executed in a deterministic and controlled environment using automated stress-testing scripts, ensuring repeatable and unbiased measurements
Benchmark Results
Comparative analysis across major Python codebases (Django, Flask, Pandas, Scikit-learn, Requests) shows:
| Metric | PySpector | Bandit | Semgrep |
|---|---|---|---|
| Throughput | 25,607 lines/sec | 14,927 lines/sec | 1,538 lines/sec |
| Performance Advantage | 71% faster than Bandit | Baseline | 16.6x slower |
| Memory Usage | 1.4 GB average | 111 MB average | 277 MB average |
| CPU Utilization | 120% (multi-core) | 100% (single-core) | 40% |
Key Performance Characteristics
- Speed: Delivers 71% faster scanning than traditional tools through Rust-powered parallel analysis
- Scalability: Maintains high throughput on large codebases (500k+ lines of code)
- Resource Profile: Optimized for modern multi-core environments with adequate memory allocation
- Consistency: Stable performance across different project types and sizes
System Requirements for Optimal Performance
- Minimum: 2 CPU cores, 2 GB RAM
- Recommended: 4+ CPU cores, 4+ GB RAM for large codebases
- Storage: SSD recommended for large repository scanning
Benchmark Methodology
Performance testing conducted on:
- Test Environment: Debian-based Linux VM (2 cores, 4GB RAM)
- Test Projects: 5 major Python repositories (13k-530k lines of code)
- Measurement: Average of multiple runs with CPU settling periods
- Comparison: Head-to-head against Bandit and Semgrep using identical configurations
Benchmark data available in the project repository for transparency and reproducibility.
Usage
PySpector is operated through a straightforward command-line interface.
Running a Scan
The primary command is scan, which can target a local file, a directory, or even a remote Git repository.
pyspector scan [PATH or --url REPO_URL] [OPTIONS]
Examples:
- Scan a single file
pyspector scan /path/to/your/project
- Scan a local directory and save the report as HTML:
pyspector scan /path/to/your/project -o report.html -f html
- Scan a public GitHub repository:
pyspector scan --url https://github.com/username/repo.git
Wizard Mode for Beginners (NEW FEATURE🚀)
- Use the
--wizardflag to enter the guided scan mode, perfect for 1st time users and beginners or students:
pyspector scan --wizard
Scan for AI and LLM Vulnerabilities
- Use the
--aiflag to enable a specialized ruleset, for projects using Large Language Models:
pyspector scan /path/to/your/project --ai
Scan for Supply-Chain CVEs in Dependencies
- Use the
--supply-chainflag to check your project dependencies for known CVEs:
pyspector scan /path/to/your/project --supply-chain
Plugin System
Lifecycle Overview
- Discovery - Plugin files live in the repository's
pluginsdirectory (PySpector/plugins) and are discovered automatically. - Registration - Trusted plugins are recorded in
PySpector/plugins/plugin_registry.jsontogether with their checksum and metadata. - Validation - Before execution PySpector validates plugin configuration, statically inspects the source for dangerous APIs, and checks the on-disk checksum.
- Execution - The plugin is initialized, receives the full findings list, and can emit additional files or data.
cleanup()is always called at the end.
Managing Plugins from the CLI
The CLI exposes helper commands for maintaining your local catalogue:
pyspector plugin list # Show discovered plugins, trust status, version, author
pyspector plugin trust plugin_name # Validate, checksum, and mark a plugin as trusted
pyspector plugin info plugin_name # Display stored metadata and checksum verification
pyspector plugin install path/to/plugin.py --trust
pyspector plugin remove legacy_plugin
Only trusted plugins are executed automatically. When you trust a plugin PySpector calculates its SHA256 checksum and stores the version, author, and description that the plugin declares via PluginMetadata. If the file is modified later you will be warned before it runs again. To trust a plugin:
pyspector plugin install ./PySpector/plugins/aipocgen.py --trust
Running Plugins During a Scan
Use one or more --plugin flags during pyspector scan and provide a JSON configuration file if the plugin expects custom settings:
pyspector scan vulnerableapp.py --plugin aipocgen --plugin-config ./PySpector/pluginconfig/aipocgen.json
The configuration file must be a JSON object whose keys match plugin names, for example:
{
"aipocgen": {
"api_key": "YOUR-GROQ-KEY",
"model": "llama-3.3-70b",
"severity_filter": ["HIGH", "CRITICAL"],
"max_pocs": 5,
"output_dir": "pocs",
"dry_run": false
}
}
Each plugin receives only its own configuration block. Results are printed in the CLI, and any paths returned in the output_files list are shown under “Generated files”.
Authoring a Plugin
Create a new Python file in ~/.pyspector/plugins/<name>.py and subclass PySpectorPlugin:
from pathlib import Path
from typing import Any, Dict, List
from pyspector.plugin_system import PySpectorPlugin, PluginMetadata
class MyPlugin(PySpectorPlugin):
@property
def metadata(self) -> PluginMetadata:
return PluginMetadata(
name="my_plugin",
version="0.1.0",
author="Your Name",
description="Summarises HIGH severity findings",
category="reporting",
)
def validate_config(self, config: Dict[str, Any]) -> tuple[bool, str]:
if "output_file" not in config:
return False, "output_file is required"
return True, ""
def initialize(self, config: Dict[str, Any]) -> bool:
self.output = Path(config["output_file"]).resolve()
return True
def process_findings(
self,
findings: List[Dict[str, Any]],
scan_path: Path,
**kwargs,
) -> Dict[str, Any]:
highs = [f for f in findings if f.get("severity") == "HIGH"]
self.output.write_text(f"{len(highs)} HIGH findings\n", encoding="utf-8")
return {
"success": True,
"message": f"Summarised {len(highs)} HIGH findings",
"output_files": [str(self.output)],
}
Your plugin must implement the following:
metadata– Return aPluginMetadatainstance describing the plugin.validate_config(config)(optional but recommended) – Abort gracefully when required settings are missing by returning(False, "reason").initialize(config)– Prepare state or dependencies; returnFalseto skip execution.- **
process_findings(findings, scan_path, **kwargs)** – Receive every finding as a dictionary and return a result object containing:success: boolean statusmessage: short summary for the CLIdata: optional serializable payloadoutput_files: optional list of generated file paths
cleanup()(optional) – Release resources; called even if an exception occurs.
Tip: Plugins are plain Python modules, so you can run python my_plugin.py while developing to perform quick checks before trusting them through the CLI.
Configuration Tips and Best Practices
- Store API keys or long-lived secrets in environment variables and read them during
initialize. Provide helpful error messages when credentials are missing. - Keep side-effects inside the scan directory. When PySpector scans a single file
scan_pathis that file, so the reference plugins switch toscan_path.parentbefore writing outputs. - Validate configuration early using
validate_config; PySpector surfaces the error message in the CLI without executing the plugin. - Return meaningful
messagevalues and populateoutput_filesso automation can pick up generated artifacts. - Document optional switches such as
dry_run(see the bundledaipocgenplugin for an example) to support air-gapped testing.
Security Model
The plugin manager enforces several safeguards:
- AST-based static inspection blocks dangerous constructs (
eval,exec,subprocess.*, etc.) and prints warnings when sensitive but acceptable calls (e.g.,open) are used. - Trust workflow – you must explicitly trust a plugin before it can run; the CLI informs you about any warnings produced during validation.
- Checksum verification – each trusted plugin has a stored SHA256 hash; changes are flagged before execution.
- Argument isolation – the runner resets
sys.argvto a minimal value so Click-based plugins cannot consume the parent CLI arguments accidentally. - Structured error handling – exceptions are caught, traced, and reported without aborting the main scan, and
cleanup()still runs.
Together these measures let you extend PySpector confidently while maintaining a secure supply chain for third-party automation.
Triaging and Baselining Findings
PySpector includes an interactive triage mode to help manage and baseline findings. This allows you to review issues and mark them as "ignored" so they don't appear in future scans.
- Generate a JSON report:
pyspector scan /path/to/your/project -o report.json -f json
- Start the triage TUI:
pyspector triage report.json
Inside the TUI, you can navigate with the arrow keys, press i to toggle the "ignored" status of an issue, and s to save your changes to a .pyspector_baseline.json file. This baseline file will be automatically loaded on subsequent scans.
Automation and Integration
PySpector includes Shell helper scripts to integrate security scanning directly into your development and operational workflows.
SARIF Output and Security Tool Integration
PySpector supports exporting scan results in SARIF (Static Analysis Results Interchange Format).
SARIF is a standardized format used by many security platforms and CI/CD systems to aggregate and visualize static analysis findings.
Why SARIF?
Using SARIF allows PySpector results to be easily integrated with:
- GitHub Code Scanning
- GitHub Advanced Security
- Security dashboards and DevSecOps pipelines
- Other SAST aggregation platforms
Example SARIF Output
Below is a simplified example of a SARIF result generated from a PySpector scan:
{
"version": "2.1.0",
"runs": [
{
"tool": {
"driver": {
"name": "PySpector",
"informationUri": "https://github.com/ParzivalHack/PySpector"
}
},
"results": [
{
"ruleId": "PYSEC001",
"level": "warning",
"message": {
"text": "Potential command injection detected"
}
}
]
}
]
}
CI/CD Integration
SARIF output can be uploaded to platforms like GitHub Code Scanning to visualize security findings directly in pull requests and repository security dashboards.
Example workflow:
pyspector scan ./project -f sarif -o report.sarif
The generated report.sarif file can then be uploaded to supported security platforms for analysis and visualization.
Git Pre-Commit Hook
To ensure that no new high-severity issues are introduced into the codebase, you can set up a Git pre-commit hook. This hook will automatically scan staged Python files before each commit and block the commit if any HIGH or CRITICAL issues are found.
To set up the hook, run the following script from the root of your Git repository:
./scripts/setup_hooks.sh
This script creates an executable .git/hooks/pre-commit file that performs the check. You can bypass the hook for a specific commit by using the --no-verify flag with your git commit command.
Scheduled Scans with Cron
For continuous monitoring, you can schedule regular scans of your projects using a cron job. PySpector provides an interactive script to help you generate the correct crontab entry.
To generate your cron job command, run:
./scripts/setup_cron.sh
🛡️ Security Hall of Fame
satoridev01 🛡️ |
Shinigami 🛡️ |
fg0x0 🛡️ |
This project follows the all-contributors specification.
Project details
Release history Release notifications | RSS feed
Download files
Download the file for your platform. If you're not sure which to choose, learn more about installing packages.
Source Distribution
Built Distributions
Filter files by name, interpreter, ABI, and platform.
If you're not sure about the file name format, learn more about wheel file names.
Copy a direct link to the current filters
File details
Details for the file pyspector-0.1.9.tar.gz.
File metadata
- Download URL: pyspector-0.1.9.tar.gz
- Upload date:
- Size: 116.7 kB
- Tags: Source
- Uploaded using Trusted Publishing? No
- Uploaded via: twine/6.2.0 CPython/3.12.6
File hashes
| Algorithm | Hash digest | |
|---|---|---|
| SHA256 |
9d198e8ceb25d794f7179201f1b63660b86f02895e39a67c91ae86e10678b2e5
|
|
| MD5 |
2524e2e19c3ea5b1b386af0a48e8ce35
|
|
| BLAKE2b-256 |
24d47d3c985c29aa7e052a917a2f343a1e95e1ac8868cf31eef903230e6d6de1
|
File details
Details for the file pyspector-0.1.9-cp314-cp314t-manylinux_2_28_x86_64.whl.
File metadata
- Download URL: pyspector-0.1.9-cp314-cp314t-manylinux_2_28_x86_64.whl
- Upload date:
- Size: 4.5 MB
- Tags: CPython 3.14t, manylinux: glibc 2.28+ x86-64
- Uploaded using Trusted Publishing? No
- Uploaded via: twine/6.2.0 CPython/3.12.6
File hashes
| Algorithm | Hash digest | |
|---|---|---|
| SHA256 |
ea1f663ad49eb504eb438149d80997a72979902d1b0daa916f98824dd8bfab06
|
|
| MD5 |
eea87e27dae8d09e69a008783187e742
|
|
| BLAKE2b-256 |
4346176ad8764069514368be0d9c865d29c8894094f70e5391434515cab9cf66
|
File details
Details for the file pyspector-0.1.9-cp314-cp314-manylinux_2_28_x86_64.whl.
File metadata
- Download URL: pyspector-0.1.9-cp314-cp314-manylinux_2_28_x86_64.whl
- Upload date:
- Size: 4.5 MB
- Tags: CPython 3.14, manylinux: glibc 2.28+ x86-64
- Uploaded using Trusted Publishing? No
- Uploaded via: twine/6.2.0 CPython/3.12.6
File hashes
| Algorithm | Hash digest | |
|---|---|---|
| SHA256 |
22eac51bebaa920245d9e327f2b26827b9a93d3c5852cca1a8364ccb08fdca21
|
|
| MD5 |
f28dcb7e51b8c59cbaaa5e4b7ac08511
|
|
| BLAKE2b-256 |
eb6165f130100bd4a1b658ef8c816595e232fc8da968fa561bc5804dd7e34fdd
|
File details
Details for the file pyspector-0.1.9-cp313-cp313t-manylinux_2_28_x86_64.whl.
File metadata
- Download URL: pyspector-0.1.9-cp313-cp313t-manylinux_2_28_x86_64.whl
- Upload date:
- Size: 4.5 MB
- Tags: CPython 3.13t, manylinux: glibc 2.28+ x86-64
- Uploaded using Trusted Publishing? No
- Uploaded via: twine/6.2.0 CPython/3.12.6
File hashes
| Algorithm | Hash digest | |
|---|---|---|
| SHA256 |
2985976d060ae022ab4416394c91d4e4a1dd7db9fb53ac7c6c3f6c7fd944d937
|
|
| MD5 |
3640b135c045305b18b07e4957b7f6f8
|
|
| BLAKE2b-256 |
0453532563172315e53edc56fe20d5c59bfa9ba43900ef44486b5c164d375ad0
|
File details
Details for the file pyspector-0.1.9-cp313-cp313-manylinux_2_28_x86_64.whl.
File metadata
- Download URL: pyspector-0.1.9-cp313-cp313-manylinux_2_28_x86_64.whl
- Upload date:
- Size: 4.5 MB
- Tags: CPython 3.13, manylinux: glibc 2.28+ x86-64
- Uploaded using Trusted Publishing? No
- Uploaded via: twine/6.2.0 CPython/3.12.6
File hashes
| Algorithm | Hash digest | |
|---|---|---|
| SHA256 |
3471c254a9fc636c5fb8e2c170ebbe3710a0b958cfe4affaf8bd9c11e7672d24
|
|
| MD5 |
f1fca646077f9768431b136adecb5d7c
|
|
| BLAKE2b-256 |
4bee8453a55237803ce6a906278a18c6a4e83570459621012788a64a5f427fa0
|
File details
Details for the file pyspector-0.1.9-cp312-cp312-win_amd64.whl.
File metadata
- Download URL: pyspector-0.1.9-cp312-cp312-win_amd64.whl
- Upload date:
- Size: 2.4 MB
- Tags: CPython 3.12, Windows x86-64
- Uploaded using Trusted Publishing? No
- Uploaded via: twine/6.2.0 CPython/3.12.6
File hashes
| Algorithm | Hash digest | |
|---|---|---|
| SHA256 |
48804d0461c2aa222cca039265410420961f25034a839fece45dc7700ac5ceaf
|
|
| MD5 |
e6e6f32c1b89219b758cf09f5bf8af20
|
|
| BLAKE2b-256 |
536e8945b5d4002a6ca19d247e1ee6e7f846a48fddd5d5237d9e04af9937a266
|
File details
Details for the file pyspector-0.1.9-cp312-cp312-manylinux_2_28_x86_64.whl.
File metadata
- Download URL: pyspector-0.1.9-cp312-cp312-manylinux_2_28_x86_64.whl
- Upload date:
- Size: 4.5 MB
- Tags: CPython 3.12, manylinux: glibc 2.28+ x86-64
- Uploaded using Trusted Publishing? No
- Uploaded via: twine/6.2.0 CPython/3.12.6
File hashes
| Algorithm | Hash digest | |
|---|---|---|
| SHA256 |
14785abd9abc4c42910ace4e38bea2ea8d79907350de4af9b020586afb756ec5
|
|
| MD5 |
d4754f355f0d34765182917c2d394932
|
|
| BLAKE2b-256 |
b4e7ae0a765644783c4624b853d594a91ac1ff114cb89c107d99df595162cb97
|
File details
Details for the file pyspector-0.1.9-cp311-cp311-manylinux_2_28_x86_64.whl.
File metadata
- Download URL: pyspector-0.1.9-cp311-cp311-manylinux_2_28_x86_64.whl
- Upload date:
- Size: 4.5 MB
- Tags: CPython 3.11, manylinux: glibc 2.28+ x86-64
- Uploaded using Trusted Publishing? No
- Uploaded via: twine/6.2.0 CPython/3.12.6
File hashes
| Algorithm | Hash digest | |
|---|---|---|
| SHA256 |
77880f5886168d9638fe935b3e6e2ea2cecd43736225912420015f407ac2a36a
|
|
| MD5 |
d1dcf3ff4198d8972fa4c8d29568257e
|
|
| BLAKE2b-256 |
16a9493f78cd99ebb63f0a46a7d66496a7fa8b6087b386ac5cd79f1e325959cb
|
File details
Details for the file pyspector-0.1.9-cp310-cp310-manylinux_2_28_x86_64.whl.
File metadata
- Download URL: pyspector-0.1.9-cp310-cp310-manylinux_2_28_x86_64.whl
- Upload date:
- Size: 4.5 MB
- Tags: CPython 3.10, manylinux: glibc 2.28+ x86-64
- Uploaded using Trusted Publishing? No
- Uploaded via: twine/6.2.0 CPython/3.12.6
File hashes
| Algorithm | Hash digest | |
|---|---|---|
| SHA256 |
170c79e3ed2e572dca4fcbfb63cfbf6d73961d5406c91476f9467e437ccc4e66
|
|
| MD5 |
fb751b0eaa8c010fb305ccce81af6cd7
|
|
| BLAKE2b-256 |
7ed10ad2252d9772f1f03581dda03c1c103947e5bf5e1a84fa2aa869febc2156
|
File details
Details for the file pyspector-0.1.9-cp39-cp39-manylinux_2_28_x86_64.whl.
File metadata
- Download URL: pyspector-0.1.9-cp39-cp39-manylinux_2_28_x86_64.whl
- Upload date:
- Size: 4.5 MB
- Tags: CPython 3.9, manylinux: glibc 2.28+ x86-64
- Uploaded using Trusted Publishing? No
- Uploaded via: twine/6.2.0 CPython/3.12.6
File hashes
| Algorithm | Hash digest | |
|---|---|---|
| SHA256 |
1b7161a18bfcab19bdce2621a0b30846da28ca2cf613437d70cf5dc1eae186f3
|
|
| MD5 |
75f561d77633dce8ba112d110385828b
|
|
| BLAKE2b-256 |
2827c7af7a78463d2ae65a7111645d36dbd0929b40f7ae4c417e61a80b6e8b2e
|